○富岡町工事請負契約約款
| (平成8年12月27日告示第32号) | 
  | 
(総則)
第1条 発注者(以下「甲」という。)及び請負者(以下「乙」という。)は、この約款(契約書を含む。以下同じ。)に基づき、設計図書(別冊の図面、仕様書、現場説明書及び現場説明に対する質問回答書をいう。以下同じ。)に従い、日本国の法令を遵守し、この契約(この約款及び設計図書を内容とする工事の請負契約をいう。以下同じ。)を履行しなければならない。
2 乙は、契約書記載の工事を契約書記載の工期内に完成し、工事目的物を甲に引き渡すものとし、甲は、その請負代金を支払うものとする。
3 仮設、施工方法その他工事目的物を完成するために必要な一切の手段(以下「施工方法等」という。)については、この約款及び設計図書に特別の定めがある場合を除き、乙がその責任において定める。
4 乙は、この契約の履行に関して知り得た秘密を漏らしてはならない。
5 この約款に定める催告、請求、通知、報告、申出、承諾及び解除は、書面により行わなければならない。
6 この契約の履行に関して甲乙間で用いる言葉は、日本語とする。
7 この約款に定める金銭の支払に用いる通貨は、日本円とする。
8 この契約の履行に関して甲乙間で用いる計量単位は、設計図書に特別の定めがある場合を除き、計量法(平成4年法律第51号)に定めるものとする。
9 この約款及び設計図書における期間の定めについては、民法(明治29年法律第89号)及び商法(明治32年法律第48号)の定めるところによるものとする。
10 この契約は、日本国の法令に準拠するものとする。
11 この契約に係る訴訟については、日本国の裁判所をもって合意による専属的管轄裁判所とする。
12 乙が共同企業体を結成している場合においては、甲は、この契約に基づくすべての行為を共同企業体の代表者に対して行うものとし、甲が当該代表者に対して行ったこの契約に基づくすべての行為は、当該企業体のすべての構成員に対して行ったものとみなし、また、乙は、甲に対して行うこの契約に基づくすべての行為について当該代表者を通じて行わなければならない。
13 乙が、法人又は組合の代表者名義をもって契約している場合において、その代表者に変更があったときは、速やかにその名義変更に係る登記簿謄本その他のこれを証する書面を添えて、その旨を甲に届け出なければならない。
(関連工事の調整)
第2条 甲は、乙の施工する工事及び甲の発注に係る第三者の施工する他の工事が施工上密接に関連する場合において、必要があるときは、その施工につき、調整を行うものとする。この場合においては、乙は、甲の調整に従い、第三者の行う工事の円滑な施工に協力しなければならない。
(請負代金内訳書及び工程表)
第3条 乙は、この契約の締結後5日以内に設計図書に基づいて、請負代金内訳書(以下「内訳書」という。)及び工程表を作成し、甲に提出しなければならない。
2 内訳書には、健康保険、厚生年金保険及び雇用保険に係る法定福利費を明示するものとする。
3 内訳書及び工程表は、甲及び乙を拘束するものではない。
(契約の保証)
第4条 乙は、この契約の締結と同時に、次の各号のいずれかに掲げる保証を付さなければならない。ただし、第5号の場合においては、履行保証保険契約の締結後、直ちにその保険証券を甲に寄託しなければならない。
(1) 契約保証金の納付
(2) 契約保証金に代わる担保となる有価証券等の提供
(3) この契約による債務の不履行により生ずる損害金の支払を保証する銀行、甲が確実と認める金融機関又は保証事業会社(公共工事の前払金保証事業に関する法律(昭和27年法律第184号)第2条第4項に規定する保証事業会社をいう。以下同じ。)の保証
(4) この契約による債務の履行を保証する公共工事履行保証証券による保証
(5) この契約による債務の不履行により生ずる損害をてん補する履行保証保険契約の締結
2 乙は、前項の規定による保険証券の寄託に代えて、電子情報処理組織を使用する方法その他の情報通信の技術を利用する方法(以下「電磁的方法」という。)であって、当該履行保証保険契約の相手方が定め、甲が認めた措置を講ずることができる。この場合において、乙は、当該保険証券を寄託したものとみなす。
3 第1項の保証に係る契約保証金の額、保証金額又は保険金額(第6項において「保証の額」という。)は、請負代金額の10分の1以上としなければならない。
4 受注者が第1項第3号から第5号までのいずれかに掲げる保証を付す場合は、当該保証は第55条第3項各号に規定する者による契約の解除についても保証するものでなければならない。
5 第1項の規定により、乙が同項第2号又は第3号に掲げる保証を付したときは、当該保証は契約保証金に代わる担保の提供として行われたものとし、同項第4号又は第5号に掲げる保証を付したときは、契約保証金の納付を免除する。
6 請負代金額の変更があった場合には、保証の額が変更後の請負代金額の10分の1に達するまで、甲は、保証の額の増額を請求することができ、乙は、保証の額の減額を請求することができる。
7 契約保証金から生じた利子は、甲に帰属するものとする。
(権利義務の譲渡等)
第5条 乙は、この契約により生ずる権利又は義務を第三者に譲渡し、又は承継させてはならない。ただし、あらかじめ、甲の承諾を得た場合は、この限りでない。
2 乙は、工事目的物、工事材料(工事製品を含む。以下同じ。)のうち第13条第2項の規定による検査に合格したもの及び第38条第3項の規定による部分払のための確認を受けたもの並びに工事仮設物を第三者に譲渡し、貸与し、又は抵当権その他の担保の目的に供してはならない。ただし、あらかじめ、甲の承諾を得た場合は、この限りではない。
(一括委任又は一括下請負の禁止)
第6条 乙は、工事の全部若しくはその主たる部分又は他の部分から独立してその機能を発揮する工作物の工事を一括して第三者に委任し、又は請け負わせてはならない。
(下請負人の通知)
第7条 甲は、乙に対して、下請負人の商号又は名称その他必要な事項の通知を請求することができる。
第7条の2 乙は、次の各号に掲げる届出をしていない建設業者(建設業法(昭和24年法律第100号)第2条第3項に定める建設業者をいい、当該届出の義務がない者を除く。以下「社会保険等未加入建設業者」という。)を下請契約(受注者が直接締結する下請契約に限る。以下この条において同じ。)の相手方としてはならない。
(1) 健康保険法(大正11年法律第70号)第48条の規定による届出
(2) 厚生年金保険法(昭和29年法律第115号)第27条の規定による届出
(3) 雇用保険法(昭和49年法律第116号)第7条の規定による届出
2 前項の規定にかかわらず、乙は、当該建設業者と下請契約を締結しなければ工事の施工が困難となる場合その他特別の事情があると甲が認める場合は、社会保険等未加入建設業者を下請契約の相手方とすることができる。この場合において、乙は、甲の指定する期間内に、当該社会保険等未加入建設業者が前項各号に掲げる届出をし、当該事実を確認することのできる書類(以下「確認書類」という。)を甲に提出しなければならない。
(特許権等の使用)
第8条 乙は、特許権、実用新案権、意匠権、商標権その他日本国の法令に基づき保護される第三者の権利(以下「特許権等」という。)の対象となっている工事材料、施工方法等を使用するときは、その使用に関する一切の責任を負わなければならない。ただし、甲がその工事材料、施工方法等を指定した場合において、設計図書に特許権等の対象である旨の明示がなく、かつ、乙がその存在を知らなかったときは、甲は、乙がその使用に関して要した費用を負担しなければならない。
(監督員)
第9条 甲は、監督員を置いたときは、その氏名を乙に通知しなければならない。監督員を変更したときも同様とする。
2 監督員は、この約款の他の条項に定めるもの及びこの約款に基づく甲の権限とされる事項のうち甲が必要と認めて監督員に委任したもののほか、設計図書に定めるところにより、次に掲げる権限を有する。
(1) 契約の履行についての乙又は乙の現場代理人に対する指示、承諾又は協議
(2) 設計図書に基づく工事の施工のための詳細図等の作成及び交付又は乙が作成した詳細図等の承諾
(3) 設計図書に基づく工程の管理、立会い、工事の施工状況の検査又は工事材料の試験若しくは検査(確認を含む。)
3 甲は、2名以上の監督員を置き、前項の権限を分担させたときにあってはそれぞれの監督員に有する権限の内容を、監督員にこの約款に基づく甲の権限の一部を委任したときにあっては当該委任した権限の内容を、乙に通知しなければならない。
4 第2項の規定に基づく監督員の指示又は承諾は、原則として、書面により行わなければならない。
5 この約款に定める甲に対する請求、通知、報告、申出、承諾及び解除については、設計図書に定めるものを除き、監督員を経由して行うものとする。この場合においては、監督員に到達した日をもって甲に到達したものとみなす。
6 甲が監督員を置かないときは、この約款に定める監督員の権限は、甲に帰属する。
(現場代理人及び主任技術者等)
第10条 乙は、次の各号に掲げる者を定めて工事現場に設置し、設計図書に定めるところにより、その氏名その他必要な事項を甲に通知しなければならない。これらの者を変更したときも同様とする。
(1) 現場代理人
(2) 
建設業法第26条の第2項の規定に該当する場合は監理技術者、それ以外の場合は主任技術者(同法第26条第3項の工事の場合は、専任の主任技術者(監理技術者)。ただし、当該工事が同法第26条第4項の工事にも該当する場合には、監理技術者資格者証の交付を受けた専任の監理技術者)、監理技術者補佐(建設業法第26条第3項ただし書に規定する者をいう。以下同じ。)
(3) 専門技術者(建設業法第26条の2に規定する技術者をいう。以下同じ。)
2 現場代理人は、この契約の履行に関し、工事現場に常駐し、その運営、取締りを行うほか、請負代金額の変更、工期の変更、請負代金の請求及び受領、第12条第1項の請求の受理、同条第3項の決定及び通知、同条第4項の請求、同条第5項の通知の受理並びにこの契約の解除に係る権限を除き、この契約に基づく乙の一切の権限を行使することができる。
[第12条第1項]
3 甲は、前項の規定にかかわらず、現場代理人の工事現場における運営、取締り及び権限の行使に支障がなく、かつ、甲との連絡体制が確保されると認めた場合には、現場代理人について工事現場における常駐を要しないこととすることができる。
4 乙は、第2項の規定にかかわらず、自己の有する権限のうち現場代理人に委任せず自ら行使しようとするものがあるときは、あらかじめ、当該権限の内容を甲に通知しなければならない。
5 現場代理人、主任技術者(監理技術者)及び専門技術者は、これを兼ねることができる。
(履行報告)
第11条 乙は、設計図書に定めるところにより、契約の履行について甲に報告しなければならない。
(工事関係者に関する措置請求)
第12条 甲は、現場代理人がその職務(監理技術者等又は専門技術者と兼任する現場代理人にあってはそれらの者の職務を含む。)の執行につき著しく不適当と認められるときは、乙に対して、その理由を明示した書面により、必要な措置をとるべきことを請求することができる。
2 甲又は監督員は、監理技術者等、専門技術者(これらの者と現場代理人を兼任する者を除く。)その他乙が工事を施工するために使用している下請負人、労働者等で工事の施工又は管理につき著しく不適当と認められるものがあるときは、乙に対して、その理由を明示した書面により、必要な措置をとるべきことを請求することができる。
3 乙は、前2項の規定による請求があったときは、当該請求に係る事項について決定し、その結果を請求を受けた日から10日以内に甲に通知しなければならない。
4 乙は、監督員がその職務の執行につき著しく不適当と認められるときは、甲に対して、その理由を明示した書面により、必要な措置をとるべきことを請求することができる。
5 甲は、前項の規定による請求があったときは、当該請求に係る事項について決定し、その結果を請求を受けた日から10日以内に乙に通知しなければならない。
(工事材料の品質及び検査等)
第13条 工事材料の品質については、設計図書に定めるところによる。設計図書にその品質が明示されていない場合にあっては、中等の品質(営繕工事にあっては、均衡を得た品質)を有するものとする。
2 乙は、設計図書において監督員の検査(確認を含む。以下この条において同じ。)を受けて使用すべきものと指定された工事材料については、当該検査に合格したものを使用しなければならない。この場合において、検査に直接要する費用は、乙の負担とする。
3 監督員は、乙から前項の検査を請求されたときは、請求を受けた日から7日以内に応じなければならない。
4 乙は、工事現場内に搬入した工事材料を監督員の承諾を受けないで工事現場外に搬出してはならない。
5 乙は、前項の規定にかかわらず、検査の結果不合格と決定された工事材料については、当該決定を受けた日から7日以内に工事現場外に搬出しなければならない。
(監督員の立会い及び工事記録の整備等)
第14条 乙は、設計図書において監督員の立会いの上調合し、又は調合について見本検査を受けるものと指定された工事材料については、当該立会いを受けて調合し、又は当該見本検査に合格したものを使用しなければならない。
2 乙は、設計図書において監督員の立会いの上施工するものと指定された工事については、当該立会いを受けて施工しなければならない。
3 乙は、前2項に規定するほか、甲が特に必要があると認めて設計図書において見本又は工事写真等の記録を整備すべきものと指定した工事材料の調合又は工事の施工をするときは、設計図書に定めるところにより、当該記録を整備し、監督員の請求があったときは、当該請求を受けた日から7日以内に提出しなければならない。
4 監督員は、乙から第1項又は第2項の立会い又は見本検査を請求されたときは、当該請求を受けた日から7日以内に応じなければならない。
5 前項の場合において、監督員が正当な理由なく乙の請求に7日以内に応じないため、その後の工程に支障をきたすときは、乙は、監督員に通知した上、当該立会い又は見本検査を受けることなく、工事材料を調合して使用し、又は工事を施工することができる。この場合において、乙は、当該工事材料の調合又は当該工事の施工を適切に行ったことを証する見本又は工事写真等の記録を整備し、監督員の請求があったときは、当該請求を受けた日から7日以内に提出しなければならない。
6 第1項、第3項又は前項の場合において、見本検査又は見本若しくは工事写真等の記録の整備に直接要する費用は、乙の負担とする。
(支給材料及び貸与品)
第15条 甲が乙に支給する工事材料(以下「支給材料」という。)及び貸与する建設機械器具(以下「貸与品」という。)の品名、数量、品質、規格又は性能、引渡場所及び引渡時期は、設計図書に定めるところによる。
2 監督員は、支給材料又は貸与品の引渡しに当たっては、乙の立会いの上、甲の負担において、当該支給材料又は貸与品を検査しなければならない。この場合において、当該検査の結果、その品名、数量、品質又は規格若しくは性能が設計図書の定めと異なり、又は使用に適当でないと認めたときは、乙は、その旨を直ちに甲に通知しなければならない。
3 乙は、支給材料又は貸与品の引渡しを受けたときは、引渡しの日から7日以内に、甲に受領書又は借用書を提出しなければならない。
4 乙は、支給材料又は貸与品の引渡しを受けた後、当該支給材料又は貸与品に第2項の検査により発見することが困難であった隠れたかしがあり使用に適当でないと認めたときは、その旨を直ちに甲に通知しなければならない。
5 甲は、乙から第2項後段又は前項の規定による通知を受けた場合において、必要があると認められるときは、当該支給材料若しくは貸与品に代えて他の支給材料若しくは貸与品を引き渡し、支給材料若しくは貸与品の品名、数量、品質若しくは規格若しくは性能を変更し、又は理由を明示した書面により、当該支給材料若しくは貸与品の使用を乙に請求しなければならない。
6 甲は、前項に規定するほか、必要があると認めるときは、支給材料又は貸与品の品名、数量、品質、規格若しくは性能、引渡場所又は引渡時期を変更することができる。
7 甲は、第2項の場合において、必要があると認められるときは工期若しくは請負代金額を変更し、又は乙に損害を及ぼしたときは必要な費用を負担しなければならない。
8 乙は、支給材料及び貸与品を善良な管理者の注意をもって管理しなければならない。
9 乙は、設計図書に定めるところにより工事の完成、設計図書の変更等によって不用となった支給材料又は貸与品を甲に返還しなければならない。
10 乙は、故意または過失により支給材料又は貸与品が滅失若しくはき損し、又はその返還が不可能となったときは、甲の指定した期間内に代品を納め、若しくは原状に復して返還し、又は返還に代えて損害を賠償しなければならない。
11 乙は、支給材料又は貸与品の使用方法が設計図書に明示されていないときは、監督員の指示に従わなければならない。
(工事用地の確保等)
第16条 甲は、工事用地その他設計図書において定められた工事の施工上必要な用地(以下「工事用地等」という。)を乙が工事の施工上必要とする日(設計図書に特別の定めがあるときは、その定められた日)までに確保しなければならない。
2 乙は、確保された工事用地等を善良な管理者の注意をもって管理しなければならない。
3 工事の完成、設計図書の変更等によって工事用地等が不用となった場合において、当該工事用地等に乙が所有又は管理する工事材料、建設機械器具、仮設物その他の物件(下請負人の所有又は管理するこれらの物件を含む。以下この条において同じ。)があるときは、乙は、当該物件を撤去するとともに、当該工事用地等を修復し、取り片付けて、甲に明け渡さなければならない。
4 前項の場合において、乙が正当な理由なく、相当の期間内に当該物件を撤去せず、又は工事用地等の修復若しくは取片付けを行わないときは、甲は、乙に代わって当該物件を処分し、工事用地等の修復若しくは取片付けを行うことができる。この場合においては、乙は、甲の処分又は修復若しくは取片付けについて異議を申し出ることができず、また、甲の処分又は修復若しくは取片付けに要した費用を負担しなければならない。
5 第3項に規定する乙のとるべき措置の期限、方法等については、甲が乙の意見を聴いて定める。
(設計図書不適合の場合の改造義務及び破壊検査等)
第17条 乙は、工事の施工部分が設計図書に適合しない場合において、監督員がその改造を請求したときは、当該請求に従わなければならない。この場合において、当該不適合が監督員の指示によるときその他甲の責に帰すべき事由によるときは、甲は、必要があると認められるときは工期若しくは請負代金額を変更し、又は乙に損害を及ぼしたときは必要な費用を負担しなければならない。
2 監督員は、乙が第13条第2項又は第14条第1項から第3項までの規定に違反した場合において、必要があると認められるときは、工事の施工部分を破壊して検査することができる。
3 前項に規定するほか、監督員は、工事の施工部分が設計図書に適合しないと認められる相当の理由がある場合において、必要があると認められるときは、当該相当の理由を乙に通知して、工事の施工部分を最小限度破壊して検査することができる。
4 前2項の場合において、検査及び復旧に直接要する費用は、乙の負担とする。
(条件変更等)
第18条 乙は、工事の施工に当たり、次の各号のいずれかに該当する事実を発見したときは、その旨を直ちに監督員に通知し、その確認を請求しなければならない。
(1) 図面、仕様書、現場説明書及び現場説明に対する質問回答書が一致しないこと(これらの優先順位が定められている場合を除く。)。
(2) 設計図書に誤謬又は脱漏があること。
(3) 設計図書の表示が明確でないこと。
(4) 工事現場の形状、地質、湧水等の状態、施工上の制約等設計図書に示された自然的又は人為的な施工条件と実際の工事現場が一致しないこと。
(5) 設計図書で明示されていない施工条件について予期することのできない特別な状態が生じたこと。
2 監督員は、前項の規定による確認を請求されたとき又は自ら前項各号に掲げる事実を発見したときは、乙の立会いの上、直ちに調査を行わなければならない。ただし、乙が立会いに応じない場合には、乙の立会いを得ずに行うことができる。
3 甲は、乙の意見を聴いて、調査の結果(これに対してとるべき措置を指示する必要があるときは、当該指示を含む。)をとりまとめ、調査の終了後14日以内に、その結果を乙に通知しなければならない。ただし、その期間内に通知できないやむを得ない理由があるときは、あらかじめ乙の意見を聴いた上、当該期間を延長することができる。
4 前項の調査の結果において第1項の事実が確認された場合において、必要があると認められるときは、次に掲げるところにより、設計図書の訂正又は変更を行わなければならない。
(1) 第1項第1号から第3号までのいずれかに該当し設計図書を訂正する必要があるもの 甲が行う。
(2) 第1項第4号又は第5号に該当し設計図書を変更する場合で工事目的物の変更を伴うもの 甲が行う。
(3) 第1項第4号又は第5号に該当し設計図書を変更する場合で工事目的物の変更を伴わないもの 甲乙協議して甲が行う。
5 前項の規定により設計図書の訂正又は変更が行われた場合において、甲は、必要があると認められるときは工期若しくは請負代金額を変更し、又は乙に損害を及ぼしたときは必要な費用を負担しなければならない。
(設計図書の変更)
第19条 甲は、前条第4項の規定によるほか、必要があると認めるときは、設計図書の変更内容を乙に通知して、設計図書を変更することができる。この場合において、甲は、必要があると認められるときは工期若しくは請負代金額を変更し、又は乙に損害を及ぼしたときは必要な費用を負担しなければならない。
(工事の中止)
第20条 工事用地等の確保ができない等のため又は暴風、豪雨、洪水、高潮、地震、地すべり、落盤、火災、騒乱、暴動その他の自然的又は人為的な事象(以下「天災等」という。)であって乙の責に帰すことができないものにより工事目的物等に損害を生じ、若しくは工事現場の状態が変動したため、乙が工事を施工できないと認められるときは、甲は、工事の中止内容を直ちに乙に通知して、工事の全部又は一部の施工を一時中止させなければならない。
2 甲は、前項の規定によるほか、必要があると認めるときは、工事の中止内容を乙に通知して、工事の全部又は一部の施工を一時中止させることができる。
3 甲は、前2項の規定により工事の施工を一時中止させた場合において、必要があると認められるときは工期若しくは請負代金額を変更し、又は乙が工事の続行に備え工事現場を維持し、若しくは労働者、建設機械器具等を保持するための費用その他の工事の施工の一時中止に伴う増加費用を必要とし、若しくは乙に損害を及ぼしたときは必要な費用を負担しなければならない。
(著しく短い工期の禁止)
第21条 甲は、工期の延長又は短縮を行うときは、この工事に従事する者の労働時間その他の労働条件が適正に確保されるよう、やむを得ない事由により工事等の実施が困難であると見込まれる日数等を考慮しなければならない。
(乙の請求による工期の延長)
第22条 乙は、天候の不良、第2条の規定に基づく関連工事の調整への協力その他乙の責に帰すことができない事由により工期内に工事を完成することができないときは、その理由を明示した書面により、甲に工期の延長変更を請求することができる。
[第2条]
(甲の請求による工期の短縮等)
第23条 甲は、特別の理由により工期を短縮する必要があるときは、工期の短縮変更を乙に請求することができる。
2 甲は、この約款の他の条項の規定により工期を延長すべき場合において、特別の理由があるときは、通常必要とされる工期に満たない工期への変更を請求することができる。
3 甲は、前2項の場合において、必要があると認められるときは請負代金額を変更し、又は乙に損害を及ぼしたときは必要な費用を負担しなければならない。
(工期の変更方法)
第24条 工期の変更については、甲乙協議して定める。ただし、協議開始の日から14日以内に協議が整わない場合には、甲が定め、乙に通知する。
2 前項の協議開始の日については、甲が乙の意見を聴いて定め、乙に通知するものとする。ただし、甲が工期の変更事由が生じた日(第22条の場合にあっては甲が工期変更の請求を受けた日、前条の場合にあっては乙が工期変更の請求を受けた日)から7日以内に協議開始の日を通知しない場合には、乙は、協議開始の日を定め、甲に通知することができる。
(請負代金額の変更方法等)
第25条 請負代金額の変更については、甲乙協議して定める。ただし、協議開始の日から14日以内に協議が整わない場合には、甲が定め、乙に通知する。
2 前項の協議開始の日については、甲が乙の意見を聴いて定め、乙に通知するものとする。ただし、請負代金額の変更事由が生じた日から7日以内に協議開始の日を通知しない場合には、乙は、協議開始の日を定め、甲に通知することができる。
3 この約款の規定により、乙が増加費用を必要とした場合又は損害を受けた場合に甲が負担する必要な費用の額については、甲乙協議して定める。
(賃金又は物価の変動に基づく請負代金額の変更)
第26条 甲又は乙は、工期内で請負契約締結の日から12月を経過した後に日本国内における賃金水準又は物価水準の変動により請負代金額が不適当となったと認めたときは、相手方に対して請負代金額の変更を請求することができる。
2 甲又は乙は、前項の規定による請求があったときは、変動前残工事代金額(請負代金額から当該請求時の出来形部分に相応する請負代金額を控除した額をいう。以下同じ。)と変動後残工事代金額(変動後の賃金又は物価を基礎として算出した変動前残工事代金額に相応する額をいう。以下同じ。)との差額のうち変動前残工事代金額の1,000分の15を超える額につき、請負代金額の変更に応じなければならない。
3 変動前残工事代金額及び変動後残工事代金額は、請求のあった日を基準とし、物価指数等に基づき甲乙協議して定める。ただし、協議開始の日から14日以内に協議が整わない場合にあっては、甲が定め、乙に通知する。
4 第1項の規定による請求は、この条の規定により請負代金額の変更を行った後再度行うことができる。この場合においては、同項中「請負契約締結の日」とあるのは「直前のこの条に基づく請負代金額変更の基準とした日」とするものとする。
5 特別な要因により工期内に主要な工事材料の日本国内における価格に著しい変動を生じ、請負代金額が不適当となったときは、甲又は乙は、前各項の規定によるほか、請負代金額の変更を請求することができる。
6 予期することのできない特別の事情により、工期内に日本国内において急激なインフレーション又はデフレーションを生じ、請負代金額が著しく不適当となったときは、甲又は乙は、前各項の規定にかかわらず、請負代金額の変更を請求することができる。
7 前2項の場合において、請負代金額の変更額については、甲乙協議して定める。ただし、協議開始の日から14日以内に協議が整わない場合にあっては、甲が定め、乙に通知する。
8 第3項及び前項の協議開始の日については、甲が乙の意見を聴いて定め、乙に通知しなければならない。ただし、甲が第1項、第5項又は第6項の請求を行った日又は受けた日から7日以内に協議開始の日を通知しない場合には、乙は、協議開始の日を定め、甲に通知することができる。
(臨機の措置)
第27条 乙は、災害防止等のため必要があると認めるときは、臨機の措置をとらなければならない。この場合において、必要があると認めるときは、乙は、あらかじめ監督員の意見を聴かなければならない。ただし、緊急やむを得ない事情があるときは、この限りでない。
2 前項の場合においては、乙は、そのとった措置の内容を監督員に直ちに通知しなければならない。
3 監督員は、災害防止その他工事の施工上特に必要があると認めるときは、乙に対して臨機の措置をとることを請求することができる。
4 乙が第1項又は前項の規定により臨機の措置をとった場合において、当該措置に要した費用のうち、乙が請負代金額の範囲において負担することが適当でないと認められる部分については、甲が負担する。
(一般的損害)
第28条 工事目的物の引渡し前に、工事目的物又は工事材料について生じた損害その他工事の施工に関して生じた損害(次条第1項若しくは第2項又は第30条第1項に規定する損害を除く。)については、乙がその費用を負担する。ただし、その損害(第58条第1項の規定により付された保険等によりてん補された部分を除く。)のうち甲の責に帰すべき事由により生じたものについては、甲が負担する。
(第三者に及ぼした損害)
第29条 工事の施工について第三者に損害を及ぼしたときは、乙がその損害を賠償しなければならない。ただし、その損害(第58条第1項の規定により付された保険等によりてん補された部分を除く。以下この条において同じ。)のうち甲の責に帰すべき事由により生じたものについては、甲が負担する。
2 前項の規定にかかわらず、工事の施工に伴い通常避けることのできない騒音、振動、地盤沈下、地下水の断絶等の理由により第三者に損害を及ぼしたときは、甲がその損害を負担しなければならない。ただし、その損害のうち工事の施工につき乙が善良な管理者の注意義務を怠ったことにより生じたものについては、乙が負担する。
3 前2項の場合その他工事の施工について第三者との間に紛争を生じた場合においては、甲乙協力してその処理解決に当たるものとする。
(不可抗力による損害)
第30条 工事目的物の引渡し前に、天災等(設計図書で基準を定めたものにあっては、当該基準を超えるものに限る。)で甲乙双方の責に帰すことができないもの(以下「不可抗力」という。)により、工事目的物、仮設物又は工事現場に搬入済みの工事材料若しくは建設機械器具に損害が生じたときは、乙は、その事実の発生後直ちにその状況を甲に通知しなければならない。
2 甲は、前項の規定による通知を受けたときは、直ちに調査を行い、前項の損害(乙が善良な管理者の注意義務を怠ったことに基づくもの及び第58条第1項の規定により付された保険等によりてん補された部分を除く。以下この条において「損害」という。)の状況を確認し、その結果を乙に通知しなければならない。
3 乙は、前項の規定により損害の状況が確認されたときは、損害による費用の負担を甲に請求することができる。
4 甲は、前項の規定により乙から損害による費用の負担の請求があったときは、当該損害の額(工事目的物、仮設物又は工事現場に搬入済みの工事材料若しくは建設機械器具であって第13条第2項、第14条第1項若しくは第2項又は第38条第3項の規定による検査、立会いその他乙の工事に関する記録等により確認することができるものに係る額に限る。)及び当該損害の取片付けに要する費用の額の合計額(以下「損害合計額」という。)のうち請負代金額の100分の1を超える額を負担しなければならない。
5 損害の額は、次に掲げる損害につき、それぞれ当該各号に定めるところにより算定する。
(1) 工事目的物に関する損害
損害を受けた工事目的物に相応する請負代金額とし、残存価値がある場合にはその評価額を差し引いた額とする。
(2) 工事材料に関する損害
損害を受けた工事材料で通常妥当と認められるものに相応する請負代金額とし、残存価値がある場合にはその評価額を差し引いた額とする。
(3) 仮設物又は建設機械器具に関する損害
損害を受けた仮設物又は建設機械器具で通常妥当と認められるものについて、当該工事で償却することとしている償却費の額から損害を受けた時点における工事目的物に相応する償却費の額を差し引いた額とする。ただし、修繕によりその機能を回復することができ、かつ、修繕費の上記の額より少額であるものについては、その修繕費の額とする。
6 数次にわたる不可抗力により損害合計額が累積した場合における第2次以降の不可抗力による損害合計額の負担については、第4項中「当該損害の額」とあるのは「損害の額の累計」と、「当該損害の取片付けに要する費用の額」とあるのは「損害の取片付けに要する費用の額の累計」と、「請負代金額の100分の1を超える額」とあるのは「請負代金額の100分の1を超える額から既に負担した額を差し引いた額」として同項を適用する。
(請負代金額の変更に代える設計図書の変更)
第31条 甲は、第8条、第15条、第17条から第20条まで、第22条、第23条、第26条から第28条まで、前条又は第34条の規定により請負代金額を増額すべき場合又は費用を負担すべき場合において、特別の理由があるときは、請負代金額の増額又は負担額の全部又は一部に代えて設計図書を変更することができる。この場合において、設計図書の変更内容は、甲乙協議して定める。ただし、協議開始の日から14日以内に協議が整わない場合には、甲が定め、乙に通知する。
2 前項の協議開始の日については、甲が乙の意見を聴いて定め、乙に通知しなければならない。ただし、甲が前項の請負代金額を増額すべき事由又は費用を負担すべき事由が生じた日から7日以内に協議開始の日を通知しない場合には、乙は、協議開始の日を定め、甲に通知することができる。
(検査及び引渡し)
第32条 乙は、工事を完成したときは、その旨を甲に通知しなければならない。
2 甲又は甲が検査を行う者として定めた職員(以下「検査員」という。)は、前項の規定による通知を受けたときは、通知を受けた日から起算して14日以内に乙の立会いの上、設計図書に定めるところにより、工事の完成を確認するための検査を完了し、当該検査の結果を乙に通知しなければならない。この場合において、甲又は検査員は、必要があると認められるときは、その理由を乙に通知して、工事目的物を最小限度破壊して検査することができる。
3 前項の場合において、検査又は復旧に直接要する費用は、乙の負担とする。
4 甲は、第2項の検査によって工事の完成を確認した後、乙が工事目的物の引渡しを申し出たときは、直ちに当該工事目的物の引渡しを受けなければならない。
5 甲は、乙が前項の申出を行わないときは、当該工事目的物の引渡しを請負代金の支払の完了と同時に行うことを請求することができる。この場合においては、乙は、当該請求に直ちに応じなければならない。
6 乙は、工事が第2項の検査に合格しないときは、直ちに修補して甲の検査を受けなければならない。この場合においては、修補の完了を工事の完成とみなして前各項の規定を適用する。
(請負代金の支払)
第33条 乙は、前条第2項の検査に合格したときは、請負代金の支払を請求することができる。
2 甲は、前項の規定による請求があったときは、請求を受けた日から起算して40日以内に請負代金を支払わなければならない。
3 甲がその責に帰すべき事由により前条第2項の期間内に検査をしないときは、その期限を経過した日から検査をした日までの期間の日数は、前項の期間(以下「約定期間」という。)の日数から差し引くものとする。この場合において、その遅延日数が約定期間の日数を超えるときは、約定期間は、遅延日数が約定期間の日数を超えた日において満了したものとみなす。
(部分使用)
第34条 甲は、第32条第4項又は第5項の規定による引渡し前においても、工事目的物の全部又は一部を乙の承諾を得て使用することができる。
2 前項の場合においては、甲は、その使用部分を善良な管理者の注意をもって使用しなければならない。
3 甲は、第1項の規定により工事目的物の全部又は一部を使用したことによって乙に損害を及ぼしたときは、必要な費用を負担しなければならない。
(前金払及び中間前金払)
第35条 乙は、請負代金額が100万円以上の場合に限り、保証事業会社と、契約書記載の工事完成の時期を保証期限とする公共工事の前払金保証事業に関する法律第2条第5項に規定する保証契約(以下「保証契約」という。)を締結し、その保証証書を甲に寄託してその保証証書記載の保証金額の範囲内において請負代金額の10分の4以内の額(1万円未満の端数があるときは、その端数は切り捨てる。)の前払金の支払を請求することができる。
2 乙は、前項の規定による保証証書の寄託に代えて、電磁的方法であって、当該保証契約の相手方たる保証事業会社が定め、甲が認めた措置を講ずることができる。この場合において、乙は、当該保証証書を寄託したものとみなす。
3 甲は、第1項の規定による請求があったときは、請求を受けた日から30日以内に前払金を支払わなければならない。
4 乙は、請負金額が1000万円以上で、かつ、工期が100日以上の場合に限り、第1項の規定による前払金の支払を受けた後、保証事業会社と中間前払金に関し、契約書記載の工事完成の時期を保証期限とする保証契約を締結し、その保証証書を甲に寄託して、請負第金額の10分の2以内の額(1万円未満の端数があるときは、その端数は切り捨てる。)の中間前払金の支払いを甲に請求することができる。
5 第2項及び第3項の規定は、前項の場合について準用する。
6 乙は、第4項の中間前払金の支払を請求しようとするときは、あらかじめ、甲又は甲の指定する者の中間前金払に係る認定を受けなければならない。この場合において、甲又は甲の指定する者は、乙の請求があったときは、直ちに認定を行い、当該認定の結果を乙に通知しなければならない。
7 乙は、請負代金額が著しく増額された場合においては、その増額後の請負代金額の10分の4(第4項の規定により中間前払金の支払を受けているときは10分の6)から受領済みの前払金額(中間前払金の支払を受けているときは、中間前払金額を含む。次項及び次条において同じ。)を差し引いた額に相当する額の範囲内で前払金(1万円未満の端数があるときは、その端数は切り捨てる。)の支払を請求することができる。この場合においては、第3項の規定を準用する。
8 乙は、請負代金額が著しく減額された場合において、受領済みの前払金額が減額後の請負代金額の10分の5(第4項の規定により中間前払金の支払を受けているときは10分の6。1万円未満の端数があるときは、その端数は切り捨てる。)を超えるときは、乙は、請負代金額が減額された日から30日以内にその超過額を返還しなければならない。ただし、この項の期間内に第33条、第38条又は第39条の規定による支払をしようとするときは、甲は、その支払額の中から超過額を控除することができる。
9 前項の期間内で前払金の超過額を返還する前にさらに請負代金額を増額した場合において、増額後の請負代金額が減額前の請負代金額以上の額であるときは、乙は、その超過額を返還しないものとし、増額後の請負代金額が減額前の請負代金額未満の額であるときは、乙は、受領済みの前払金の額からその増額後の請負代金額の10分の5(第4項の規定により中間前払金の支払を受けているときは10分の6)の額(1万円未満の端数があるときは、その端数は切り捨てる。)を差し引いた額を返還しなければならない。
10 甲は、乙が第8項の期間内に超過額を返還しなかったときは、その未返還額につき、同項の期間を経過した日から返還をする日までの期間について、その日数に応じ、政府契約の支払遅延防止等に関する法律(昭和24年法律第256号)第8条第1項に規定する政府契約の支払遅延に対する遅延利息の率(以下「遅延利息の率」という。)で計算した額の遅延利息(1,000円未満の端数があるときは、その端数は切り捨てる。)の支払を請求することができる。
(保証契約の変更)
第36条 乙は、前条第6項の規定により受領済みの前払金に追加してさらに前払金の支払を請求する場合には、あらかじめ、保証契約を変更し、変更後の保証証書を甲に寄託しなければならない。
2 乙は、前項に定める場合のほか、請負代金額が減額された場合において、保証契約を変更したときは、変更後の保証証書を直ちに寄託しなければならない。ただし、前払金超過額を返還する場合における保証契約の変更は、その超過額を返還した後に行うものとし、その変更後の保証金額は、減額後の前払金額を下らないものとする。
3 乙は、第1項又は第2項の規定による保証証書の寄託に代えて、電磁的方法であって、当該保証契約の相手方たる保証事業会社が定め、甲が認めた措置を講ずることができる。この場合において、乙は、当該保証証書を寄託したものとみなす。
4 乙は、前払金額の変更を伴わない工期の変更が行われた場合には、甲に代わりその旨を保証事業会社に直ちに通知するものとする。
(前払金の使用等)
第37条 乙は、前払金をこの工事の材料費、労務費、機械器具の賃借料、機械購入費(この工事において償却される割合に相当する額に限る。)、動力費、支払運賃、修繕費、仮設費及び現場管理費並びに一般管理費等のうち当該工事の施工に要する費用に相当する額として必要な経費以外の支払に充当してはならない。ただし、令和4年4月1日から令和7年3月31日までに、新たに請負契約を締結する工事に係る前払金で、令和7年3月31日までに払出しが行われるものについては、前払金の100分の25を超える額及び中間前払金を除き、この工事の現場管理費及び一般管理費等のうちこの工事の施工に要する費用に係る支払いに充当することができる。
(部分払)
第38条 乙は、請負代金額が100万円以上である場合に限り、かつ、工事の出来形部分並びに工事現場に搬入済みの工事材料及び製造工場等にある工場製品(第13条第2項の規定により監督員の検査を要するものにあっては当該検査に合格したもの、監督員の検査を要しないものにあっては設計図書で部分払の対象とすることを指定したものに限る。)に相応する請負代金相当額(以下この条において「出来高金額」という。)が請負代金額の10分の5(第35条第3項に規定する中間前金払の対象となる工事にあっては、10分の6)を超えた場合において、工事の完成前に、当該請負代金相当額の10分の9以内の額(1万円未満の端数があるときは、その端数は切り捨てる。)について、次項から第10項までに定めるところにより部分払を請求することができる。ただし、この請求は、工期中次の表に定める回数を超えることができない。
| 請負代金額 | 前金払をしない場合 | 前金払をする場合 | |
| 中間前金払をしない場合 | 中間前金払をする場合 | ||
| 1,000万円未満 | 2回 | 1回 | 1回 | 
| 1,000万円以上2,000万円未満 | 3回 | 2回 | 2回 | 
| 2,000万円以上 | 甲、乙協議して別に契約で定める回数 | ||
2 乙は、部分払を請求しようとするときは、あらかじめ、当該請求に係る出来形部分又は工事現場に搬入済みの工事材料又は製造工場等にある工場製品の確認を甲に請求しなければならない。
3 甲は、前項の場合において、当該請求を受けた日から14日以内に、乙の立会いの上、設計図書に定めるところにより、前項の確認をするための検査を行い、当該確認の結果を乙に通知しなければならない。この場合において、甲は、必要があると認められるときは、その理由を乙に通知して、出来形部分を最小限度破壊して検査することができる。
4 前項の場合において、検査又は復旧に直接要する費用は、乙の負担とする。
5 乙は、第3項の規定による確認があったときは、部分払を請求することができる。この場合においては、甲は、当該請求を受けた日から30日以内に部分払金を支払わなければならない。
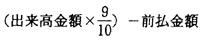
6 第1項の場合において、乙が既に前金払により請負代金の一部の前払を受けているときは、同項の規定により請求をすることができる額は、次の算式により算定して得た額以内の額(1万円未満の端数があるときは、その端数は切り捨てる。)とする。
(1) 部分払がまだ一度もなされていない場合
![]()  | 
(2) 部分払が既になされている場合
![]()  | 
7 
第35条第2項ただし書の規定により乙が保証契約を変更しないため保証期間が満了した場合において、当該保証期間満了後に部分払として請求することができる額は、前項の規定にかかわらず、次の算式により算定して得た額以内の額(1万円未満の端数があるときは、その端数は切り捨てる。)とする。
[第35条第2項]
(1) 部分払がまだ一度もなされていない場合
![]()  | 
(2) 部分払が既になされている場合
![]()  | 
8 第1項及び前2項の場合において、出来高金額は、甲乙協議して定める。ただし、甲が第5項の規定による請求を受けた日から10日以内に協議が整わない場合には、甲が定め、乙に通知する。
9 請負代金額が著しく増額された場合において、部分払の金額及び請負代金額の別による部分払の請求をすることができる回数は、当該増額後の請負代金額について第1項、第6項及び第7項の規定を適用して得られたところによる。この場合において、既に支払われている部分払の金額が当該増額後の請負代金額について第1項、第6項及び第7項の規定を適用して得られる部分払の金額に満たないときは、乙は、その差額に相当する額について甲に対し支払の請求をすることができる。第5項の規定は、この場合における当該差額に相当する額の支払について準用する。
10 請負代金額が著しく減額された場合において、部分払の金額及び請負代金額の別による部分払の請求をすることができる回数は、当該減額後の請負代金額について第1項、第6項及び第7項の規定を適用して得られたところによる。この場合において、既に支払われている部分払の金額が当該減額後の請負代金額について、第1項、第6項及び第7項の規定を適用して得られる部分払の金額を超えるときは、乙は、その超える額に相当する額を第34条第4項の規定の例による期限までに甲に返還しなければならないものとし、また、当該返還金を当該期限までに返還しなかったときは、乙は、甲に対して同条第6項の規定の例により遅延利息を支払わなければならない。
(部分引渡し)
第39条 
第32条及び第33条の規定は、工事目的物について、甲が設計図書において工事の完成に先だって引渡しを受けるべきことを指定した部分(以下「指定部分」という。)がある場合において、当該指定部分の工事が完了したときについて準用する。この場合において、第32条中「工事」とあるのは「指定部分に係る工事」と、「工事目的物」とあるのは「指定部分に係る工事目的物」と、同条第5項及び第33条中「請負代金」とあるのは「部分引渡しに係る請負代金」と読み替えるものとする。
2 前項の規定により準用される第32条第1項の規定により請求することができる部分引渡しに係る請負代金の額は、次の式により算定して得た額(1万円未満の端数があるときは、その端数は切り捨てる。)とする。この場合において、指定部分に相応する請負代金の額は、甲乙協議して定める。ただし、甲が前項の規定により準用される第32条第1項の請求を受けた日から14日以内に協議が整わない場合には、甲が定め、乙に通知する。
部分引渡しに係る請負代金の額=指定部分に相応する請負代金の額
-(前払金額×指定部分に相応する請負代金の額/請負代金額)
(債務負担行為に係る契約の特則)
第40条 債務負担項に係る契約において、各会計年度における請負代金の支払いの限度額(以下「支払限度額」という。)は次のとおりとする。
          年  度            円
          年  度            円
          年  度            円
2 支払限度額に対応する各会計年度の出来高予定額は、次の通りである。
          年  度            円
          年  度            円
          年  度            円
3 甲は、予算上の都合その他の必要があるときは、第1項の支払限度額及び前項の出来高予定額を変更することができる。
(債務負担行為に係る契約の前金払及び中間前金払の特則)
第41条 債務負担項に係る契約の前金払及び中間前金払については、第35条中「契約書記載の工事完成の時期」とあるのは「契約書記載の工事完成の時期(最終の会計年度以外の会計年度にあっては、各会計年度末」)と、同条及び第36条中「請負代金額」とあるのは「当該会計年度の出来高予定額(前会計年度における第38条第1項の請負代金相当額(以下この条及び次条において「請負代金相当額」という。)が前会計年度までの出来高予定額を超えた場合において、当該会計年度の当初に部分払をしたときは、当該超過額を控除した額)」と読み替えて、これらの規定を準用する。ただし、この契約を締結した会計年度(以下「契約会計年度」という。)以外の会計年度においては、乙は、予算の執行が可能となる時期以前に前払金及び中間前払金の支払いを請求することはできない。
[第35条]
2 前項の場合において契約会計年度について前払金及び中間前払金を支払わない旨が設計図書に定められているときには、同項の規定により準用される第35条第1項及び第4項の規定にかかわらず、乙は、契約会計年度について前払金及び中間前払金の支払いを請求することができない。
3 第1項の場合において、契約会計年度に翌会計年度分の前払金及び中間前払金を含めて支払う旨が設計図書に定められているときには、同項の規定により準用される第35条第1項の規定にかかわらず、乙は、契約会計年度に翌会計年度に支払うべき前払金相当分及び中間前払金相当分を含めて前払金及び中間前払金の支払いを請求することができる。
[第35条第1項]
4 第1項の場合において、前会計年度末における請負代金相当額が前会計年度までの出来高予定額に達しないときには、同項の規定に準用される第35条第1項の規定にかかわらず、乙は、請負代金相当額が前会計年度までの出来高予定額に達するまで当該会計年度の前払金及び中間前払金の支払いを請求することができない。
[第35条第1項]
5 第1項の場合において、前会計年度末における請負代金相当額が前会計年度までの出来高予定額に達しないときには、その額が当該出来高予定額に達するまで前払金及び中間前払金の保証期限を延長するものとする。この場合においては、第36条第4項の規定を準用する。
[第36条第4項]
(債務負担行為に係る契約の部分払の特則)
第42条 債務負担行為に係る契約において、前会計年度末における請負代金相当額が前会計年度までの出来高予定額を超えた場合においては、乙は、当該会計年度の当初に当該超過額(以下「出来高超過額」という。)について部分払を請求することができる。ただし、契約会計年度以外の会計年度においては、乙は、予算の執行が可能となる時期以前に部分払の支払いを請求することはできない。
2 この契約において、前払金及び中間前払金の支払いを受けている場合の部分払金の額については、第38条第6項及び第7項の規定にかかわらず、次の式により算定する。
部分払金の額≦請負代金相当額×5/10-前会計年度までの支払金額-(請負代金相当額-前会計年度までの出来高予定額)×(当該会計年度前払金額+当該会計年度の中間前払金額)/当該会計年度の出来高予定額
3 各会計年度において、部分払を請求できる回数は、次のとおりである。
          年  度            回
          年  度            回
          年  度            回
(第三者による代理受領)
第43条 乙は、甲の承諾を得て請負代金の全部又は一部の受領につき、第三者を代理人とすることができる。
2 甲は、前項の規定により乙が第三者を代理人とした場合において、乙の提出する支払請求書に当該第三者が乙の代理人である旨の明記がなされている委任状の添付があるときは、当該第三者に対して第33条(前条において準用する場合を含む。)又は第38条の規定に基づく支払をしなければならない。
(前払金等の不払に対する工事中止)
第44条 乙は、甲が第35条、第38条又は第39条において準用する第33条の規定に基づく支払を遅延し、相当の期間を定めてその支払を請求したにもかかわらず支払をしないときは、工事の全部又は一部の施工を一時中止することができる。この場合においては、乙は、その理由を明示した書面により、直ちにその旨を甲に通知しなければならない。
2 甲は、前項の規定により乙が工事の施工を中止した場合において、必要があると認められるときは工期若しくは請負代金額を変更し、又は乙が工事の続行に備え工事現場を維持し、若しくは労働者、建設機械機具等を保持するための費用その他の工事の施工の一部中止に伴う増加費用を必要とし、若しくは乙に損害を及ぼしたときは必要な費用を負担しなければならない。
(契約不適合責任)
第45条 甲は、引き渡された工事目的物が種類又は品質に関して契約の内容に適合しないもの(以下「契約不適合」という。)であるときは、乙に対し、目的物の修補又は代替物の引渡しによる履行の追完を請求することができる。ただし、その履行の追完に過分の費用を要するときは、甲は履行の追完を請求することができない。
2 前項の場合において、乙は、甲に不相当な負担をかするものでないときは、甲が請求した方法と異なる方法による履行の追完をすることができる。
3 第1項の場合において、甲が相当の期間を定めて履行の追完の催促をし、その期間内に履行の追完がないときは、甲は、その不適合の程度に応じて代金の減額を請求することができる。ただし、次の各号のいずれかに該当する場合は、催告をすることなく、直ちに代金の減額を請求することができる。
(1) 履行の追完が不能であるとき。
(2) 乙が履行の追完を拒絶する意思を明確に表示したとき。
(3) 工事目的物の性質又は当事者の意思表示により、特定の日時又は一定の期間内に履行しなければ契約をした目的を達することができない場合において、乙が履行の追完をしないでその時期を経過したとき。
(4) 前3号に掲げる場合のほか、甲がこの項の規定による催告をしても履行の追完を受ける見込みがないことが明らかであるとき。
(甲の任意解除権)
第46条 甲は、工事が完成するまでの間は、次条又は第48条の規定によるほか、必要があるときは、この契約を解除することができる。
2 甲は、前項の規定によりこの契約を解除した場合において、乙に損害を及ぼしたときは、その損害を賠償しなければならない。
(甲の催告による解除権)
第47条 甲は、受注者が次の各号のいずれかに該当するときは相当の期間を定めてその履行の催告をし、その期間内に履行ができないときはこの契約を解除することができる。ただし、その期間を経過したときにおける債務の不履行がこの契約及び取引上の社会通念に照らして軽微であるときは、この限りではない。
(1) 正当な理由なく、工事に着手すべき期日を過ぎても工事に着手しないとき。
(2) 工期内に完成しないとき又は工期経過後相当の期間内に工事を完成する見込みがないと認められるとき。
(3) 第10条第1項第2号に掲げる者を設置しなかったとき。
(4) 正当な理由なく、第45条第1項の履行の追完がなされないとき。
[第45条第1項]
(5) 前各号に掲げる場合のほか、この契約に違反したとき。
(甲の催告によらない解除権)
第48条 甲は、乙が次の各号のいずれかに該当するときは、直ちにこの契約を解除することができる。
(1) 第5条第1項の規定に違反して請負代金債権を譲渡したとき。
[第5条第1項]
(2) この契約の目的物を完成させることができないことが明らかであるとき。
(3) 引き渡された工事目的物に契約不適合がある場合において、その不適合が目的物を除却した上で再び建設しなければ、契約の目的を達成することができないものであるとき。
(4) 乙がこの契約の目的物の完成の債務の履行を拒絶する意思を明確に表示したとき。
(5) 乙の債務の一部の履行が不能である場合又は乙がその債務の一部の履行拒絶する意思を明確に表示した場合において、残存する部分のみでは契約をした目的を達することができないとき。
(6) 契約の目的物の性質や当事者の意思表示により、特定の日時又は一定の期間内に履行しなければ契約をした目的を達することができない場合において、乙が履行をしないでその時期を経過したとき。
(7) 前各号に掲げる場合のほか、乙がその債務の履行をせず、甲が前条の催告をしても契約をした目的を達するのに足りる履行がされる見込みがないことが明らかであるとき。
(8) 暴力団(暴力団員による不当な行為の防止等に関する法律(平成3年法律第77号)第2条第2号に規定する暴力団をいう。以下この条において同じ。)又は暴力団員(暴力団員による不当な行為の防止に関する法律第2条第6号に規定する暴力団員をいう。以下この条において同じ。)が経営に実質的に関与していると認められる者に請負代金債権を譲渡したとき。
(9) 第51条又は第52条の規定によらないでこの契約の解除を申し出たとき。
(10) 乙(乙が共同企業体であるときは、その構成員のいずれかの者。以下この号において同じ。)が次のいずれかに該当するとき。
イ 役員等(乙が個人である場合にはその者を、乙が法人である場合にはその役員又はその支店若しくは常時建設工事の請負契約を締結する事務所の代表者をいう。以下この号において同じ。)が暴力団員であると認められるとき。
ロ 暴力団又は暴力団員が経営に実質的に関与していると認められるとき。
ハ 役員等が、自己、自社若しくは第三者の不正の利益を図る目的又は第三者に損害を加える目的をもって暴力団又は暴力団員を利用するなどしたと認められるとき。
ニ 役員等が、暴力団又は暴力団員に対して資金等供給し、又は便宜を供与するなど直接的あるいは積極的に暴力団の維持、運営に協力し、若しくは関与していると認められるとき。
ホ 役員等が暴力団又は暴力団員と社会的に非難されるべき関係を有していると認められるとき。
ヘ 下請契約又は資材、原材料の購入契約その他の契約に当たり、その相手方がイからホまでのいずれかに該当することを知りながら、当該者と契約を締結したと認められるとき。
ト 乙が、イからホまでのいずれかに該当する者を下請契約又は資材、原材料の購入契約その他の契約の相手方としていた場合(ヘに該当する場合を除く。)に、甲が乙に対して当該契約の解除を求め、乙がこれに従わなかったとき。
(甲の責めに帰すべき事由による場合の解除の制限)
第49条 第47条各号又は前条各号に定める場合が甲の責めに帰すべき事由によるものであるときは、甲は、前二条の規定による契約の解除をすることができない。
[第47条各号]
(公共工事履行保証証券による保証の請求)
第50条 第4条第1項の規定によりこの契約による債務の履行を保証する公共工事履行保証証券による保証が付された場合において、乙が第47条各号又は第48条各号のいずれかに該当するときは、甲は、当該公共工事履行保証証券の規定に基づき、保証人に対して、他の建設業者を選定し、工事を完成させるよう請求することができる。
2 乙は、前項の規定により保証人が選定し甲が適当と認めた建設業者(以下この条において「代替履行業者」という。)から甲に対して、この契約に基づく次の各号に定める乙の権利及び義務を承継する旨の通知が行われた場合には、代替履行業者に対して当該権利及び義務を承継させる。
(1) 請負代金債権(前払金、部分払金又は部分引渡しに係る請負代金として乙に既に支払われたものを除く。)
(2) 工事完成債務
(3) 契約不適合を保証する債務(乙が施工した出来形部分の契約不適合に係るものを除く。)
(4) 解除権
(5) その他この契約に係る一切の権利及び義務(第29条の規定により乙が施工した工事に関して生じた第三者への損害賠償債務を除く。)
3 甲は、前項の通知を代替履行業者から受けた場合には、代替履行業者が同項各号に規定する乙の権利及び義務を承継することを承諾する。
4 第1項の規定による甲の請求があった場合において、当該公共工事履行保証証券の規定に基づき、保証人から保証金が支払われたときには、この契約に基づいて甲に対して乙が負担する損害賠償債務その他の費用の負担に係る債務(当該保証金の支払われた後に生じる違約金等を含む。)は、当該保証金の額を限度として、消滅する。
(乙の催告による解除権)
第51条 乙は、甲がこの契約に違反したときは、相当の期間を定めてその履行の催告をし、その期間内に履行がないときは、この契約を解除することができる。ただし、その期間を経過したときにおける債務の不履行がこの契約及び取引上の社会通念に照らして軽微であるときは、この限りでない。
(乙の解除権)
第52条 乙は、次の各号のいずれかに該当するときは、契約を解除することができる。
(1) 
第19条の規定により設計図書を変更したため請負代金額が3分の2以上減少したとき。
[第19条]
(2) 
第20条の規定による工事の施工の中止期間が工期の10分の5(工期の10分の5が6月を超えるときは、6月)を超えたとき。ただし、中止が工事の一部のみの場合は、その一部を除いた他の部分の工事が完了した後3月を経過しても、なおその中止が解除されないとき。
[第20条]
(3) 甲が契約に違反し、その違反によって契約の履行が不可能となったとき。
2 乙は、前項の規定により契約を解除した場合において、損害があるときは、その損害の賠償を甲に請求することができる。
(乙の責めに帰すべき事由による場合の解除の制限)
第53条 第51条又は前条各号に定める場合が乙の責めに帰すべき事由によるものであるときは、乙は、前二条の規定による契約の解除をすることができない。
[第51条]
(解除に伴う措置)
第54条 甲は、この契約が工事の完成前に解除された場合においては、出来形部分を検査の上、当該検査に合格した部分及び部分払の対象となった工事材料の引渡しを受けるものとし、当該引渡しを受けたときは、当該引渡しを受けた出来形部分に相応する請負代金を乙に支払わなければならない。この場合において、甲は、必要があると認められるときは、その理由を乙に通知して、出来形部分を最小限度破壊して検査することができる。
2 前項の場合において、検査又は復旧に直接要する費用は、乙の負担とする。
3 第1項の場合において、第35条の規定による前払金があったときは、当該前払金の額(第38条の規定による部分払をしているときは、その部分払において償却した前払金の額を控除した額)を第1項前段の出来形部分に相応する請負代金額から控除する。この場合において、受領済みの前払金額になお余剰があるときは、乙は、解除が第47条、第48条又は次条第3項の規定によるときにあっては、その余剰額に前払金の支払の日から返還の日までの日数に応じ遅延利息の率で計算した額(1,000円未満の端数があるときは、その端数は切り捨てる。)の利息を付した額を、解除が第46条、第51条又は第52条の規定によるときにあっては、その余剰額を甲に返還しなければならない。
4 乙は、契約解除された場合において、支給材料があるときは、第1項の出来形部分の検査に合格した部分に使用されているものを除き、甲に返還しなければならない。この場合において、当該支給材料が乙の故意若しくは過失により滅失若しくはき損したとき、又は出来形部分の検査に合格しなかった部分に使用されているときは、代品を納め、若しくは原状に復して返還し、又は返還に代えてその損害を賠償しなければならない。
5 乙は、契約が解除された場合において、貸与品があるときは、当該貸与品を甲に返還しなければならない。この場合において、当該貸与品が乙の故意又は過失により滅失又はき損したときは、代品を納め、若しくは原状に復して返還し、又は返還に代えてその損害を賠償しなければならない。
6 乙は、契約が解除された場合において、工事用地等に乙が所有又は管理する工事材料、建設機械機具、仮設物その他の物件(下請負人の所有又は管理するこれらの物件を含む。以下この条において同じ。)があるときは、乙は、当該物件を撤去するとともに、工事用地等を修復し、取り片付けて、甲に明け渡さなければならない。
7 前項の場合において、乙が正当な理由なく、相当の期間内に当該物件を撤去せず、又は工事用地等の修復若しくは取片付けを行わないときは、甲は、乙に代わって当該物件を処分し、工事用地等を修復若しくは取片付けを行うことができる。この場合においては、乙は、甲の処分又は修復若しくは取片付けについて異議を申し出ることができず、また、甲の処分又は修復若しくは取片付けに要した費用を負担しなければならない。
8 第4項前段及び第5項前段に規定する乙のとるべき措置の期限、方法等については、契約の解除が第47条、第48条又は次条第3項の規定によるときは甲が定め、第46条、第51条又は第52条の規定によるときは、乙が甲の意見を聴いて定めるものとし、第4項後段、第5項後段及び第6項に規定する乙のとるべき措置の期限、方法等については、甲が乙の意見を聴いて定めるものとする。
9 工事の完成後にこの契約が解除された場合には、解約に伴い生じる事項の処理については甲及び乙が民法の規定に従って協議して決める。
(甲の損害賠償請求等)
第55条 甲は、乙が次の各号のいずれかに該当するときは、これによって生じた損害の賠償を請求することができる。
(1) 工期内に工事を完成することができないとき。
(2) この工事目的物に契約不適合があるとき。
(3) 第47条又は第48条の規定により、工事目的物の完成後にこの契約が解除されたとき。
(4) 前3号に掲げる場合のほか、債務の本旨に従った履行をしないとき又は債務の履行が不能であるとき。
2 次の各号のいずれかに該当するときは、前項の損害賠償に代えて、乙は、請負代金の10分の1に相当する額を違約金として甲の指定する期間内に支払わなければならない。
(1) 第47条又は第48条の規定により工事目的物の完成前にこの契約が解除されたとき。
(2) 工事目的物の完成前に乙がその債務の履行を拒否し、又は乙の責めに帰すべき事由によって乙の債務について履行不能となったとき。
3 次の各号に掲げる者がこの契約を解除した場合は、前項第2号に該当する場合とみなす。
(1) 乙について破産手続開始の決定があった場合において、破産法(平成16年法律第75号)の規定により選任された破産管財人
(2) 乙について更生手続開始の決定があった場合において、会社更生法(平成14年法律第154号)の規定により選任された管財人
(3) 乙について再生手続開始の決定があった場合において、民事再生法(平成11年法律第225号)の規定により選任された再生債務者等
4 第1項各号又は第2項各号に定める場合(前項の規定により第2項第2号に該当する場合とみなされる場合を除く。)がこの契約及び取引上の社会通念に照らして乙の責めに帰することができない事由によるものであるときは、第1項及び第2項の規定は適用しない。
5 第1項第1号の場合においては、甲は、請負代金額から出来形部分に相応する請負代金額を控除した額につき、遅延日数に応じ、年2.6パーセントの割合で計算した額を請求するものとする。
6 第2項の場合(第48条第9号及び第11号の規定により、この契約が解除された場合を除く。)において、第4条の規定により契約保証金の納付又はこれに代わる担保の提供が行われているときは、甲は、当該契約保証金又は担保をもって同項の違約金に充当することができる。
[第4条]
(乙の損害賠償請求等)
第56条 乙は、甲が次の各号のいずれかに該当する場合はこれによって生じた損害の賠償を請求することができる。ただし、当該各号に定める場合がこの契約及び取引上の社会通念に照らして甲の責めに帰することができない事由によるものであるときは、この限りではない。
(1) 第51条又は第52条の規定によりこの契約が解除されたとき。
(2) 前号に掲げる場合のほか、債務の本旨に従った履行をしないとき又は債務の履行が不能であるとき。
2 第33条第2項(第39条において準用する場合を含む。)の規定による請負代金の支払いが遅れた場合において、乙は、未受領金額につき、遅延日数に応じ、年2.5パーセントの割合で計算した額の遅延利息の支払いを甲に請求することができる。
[第33条第2項]
(契約不適合責任期間等)
第57条 甲は、引き渡された工事目的物に関し、第32条第4項又は第5項(第39条においてこれらの規定を準用する場合を含む。)の規定による引渡し(以下この条において単に「引渡し」という。)を受けた日から2年以内でなければ、契約不適合を理由とした履行の追完の請求、損害賠償の請求、代金の減額の請求又は契約の解除(以下この条において「請求等」という。)をすることができない。
2 前項の規定にかかわらず、設備機器本体等の契約不適合については、引渡しの時、甲が検査して直ちにその履行の追完を請求しなければ、乙は、その責任を負わない。ただし、当該検査において一般的な注意の下で発見できなかった契約不適合については、引渡しを受けた日から1年が経過する日まで請求等をすることができる。
3 前2項の請求等は、具体的な契約不適合の内容、請求する損害額の算定の根拠等当該請求等の根拠を示して、乙の契約不適合責任を問う意思を明確に告げることで行う。
4 甲が第1項又は第2項に規定する契約不適合に係る請求が可能な期間(以下この項及び第7項において「契約不適合責任期間」という。)の内に契約不適合を知り、その旨を乙に通知した場合において、甲が通知から1年が経過する日までに前項に規定する方法による請求等をしたときは、契約不適合責任期間の内に請求等をしたものとみなす。
5 甲は、第1項又は第2項の請求等を行ったときは、当該請求等の根拠となる契約不適合に関し、民法の消滅時効の範囲で、当該請求以外に必要と認められる請求等をすることができる。
6 前各項の規定は、契約不適合が乙の故意または重過失により生じたものであるときには適用せず、契約不適合に関する乙の責任については、民法の定めるところによる。
7 民法第637条第1項の規定は、契約不適合責任期間については適用しない。
8 甲は、工事目的物の引渡しの際に契約不適合があることを知ったときは、第1項の規定にかかわらず、その旨を直ちに乙に通知しなければ、当該契約不適合に関する請求等をすることはできない。ただし、乙がその契約不適合があることを知っていたときは、この限りでない。
9 この契約が、住宅の品質確保の促進等に関する法律(平成11年法律第81号)第94条第1項に規定する住宅新築請負契約である場合には、工事目的物のうち住宅の品質確保の促進等に関する法律施行令(平成12年政令第64号)第5条に定める部分の瑕疵(構造耐力又は雨水の侵入に影響のないものを除く。)について請求等を行うことのできる期間は、10年とする。この場合において、前各項の規定は適用しない。
10 引き渡された工事目的物の契約不適合が支給材料の性質又は甲若しくは監督員の指図により生じたものであるときは、甲は当該契約不適合を理由として、請求をすることができない。ただし、乙がその材料又は指図の不適当であることを知りながらこれを通知しなかったときは、この限りでない。
(火災保険等)
第58条 乙は、工事目的物及び工事材料(支給材料を含む。以下この条において同じ。)等を設計図書に定めるところにより火災保険、建設工事保険その他の保険(これに準ずるものを含む。以下この条において同じ。)に付さなければならない。
2 乙は、前項の規定により保険契約を締結したときは、その証券又はこれに代わるものを直ちに甲に提出しなければならない。
3 乙は、工事目的物及び工事材料等を第1項の規定による保険以外の保険に付したときは、直ちにその旨を甲に通知しなければならない。
(あっせん又は調停)
第59条 この約款の各条項において甲乙協議して定めるものにつき協議が整わなかったときに甲が定めたものに乙が不服がある場合その他この契約に関して甲乙間に紛争を生じた場合には、甲及び乙は、建設業法による福島県建設工事紛争審査会(以下「審査会」という。)のあっせん又は調停によりその解決を図る。
この場合において、紛争の処理に要する費用については、甲乙協議して特別の定めをしたものを除き、甲乙それぞれ負担する。
2 甲及び乙は、前項の調停人があっせん又は調停を打ち切ったときは、建設業法による福島県建設工事紛争審査会(以下「審査会」という。)のあっせん又は調停によりその解決を図る。
3 第1項の規定にかかわらず、現場代理人の職務の執行に関する紛争、監理技術者等、専門技術者その他乙が工事を施工するために使用している下請負人、労働者等の工事の施工又は管理に関する紛争及び監督員の職務の執行に関する紛争については、第12条第3項の規定により乙が決定を行った後若しくは同条第5項の規定により甲が決定を行った後、又は甲若しくは乙が決定を行わずに同条第3項若しくは第5項の期間が経過した後でなければ、甲及び乙は、第1項のあっせん又は調停を請求することができない。
[第12条第3項]
(仲裁)
第60条 甲及び乙は、その一方又は双方が前条の審査会のあっせん又は調停により紛争を解決する見込みがないと認めたときは、同条の規定にかかわらず、仲裁合意書に基づき、審査会の仲裁に付し、その仲裁判断に服する。
(情報通信の技術を利用する方法)
第61条 この約款において書面により行わなければならないこととされている催告、請求、通知、報告、申出、承諾、解除及び指示は、建設業法その他の法令に違反していない限りにおいて、電磁的方法を用いて行うことができる。ただし、当該方法は書面の交付に準ずるものでなければならない。
(補則)
第62条 この契約に定めのない事項については、必要に応じて甲乙協議して定める。
附 則
1 この約款は、公布の日から施行し、平成9年1月1日から適用させる。
2 富岡町工事請負契約約款(昭和58年富岡町告示第8号)は、廃止する。
附 則(平成15年4月1日告示第13号)
| 
 | 
この約款は、平成15年4月1日から施行する。
附 則(平成19年4月1日告示第17号)
| 
 | 
この約款は、平成19年4月1日から施行する。
附 則(平成20年4月1日告示第18号)
| 
 | 
この約款は、平成20年4月1日から施行する。
附 則(平成21年3月30日告示第19号)
| 
 | 
この約款は、平成21年4月1日から施行する。
附 則(平成28年7月22日告示第32号)
| 
 | 
この約款は、公布の日から施行する。
附 則(平成29年4月17日告示第17号)
| 
 | 
この約款は、公布の日から施行する。
附 則(平成29年7月12日告示第28号)
| 
 | 
この約款は、公布の日から施行する。
附 則(平成29年8月30日告示第33号)
| 
 | 
この約款は、公布の日から施行する。
附 則(平成30年4月16日告示第13号)
| 
 | 
この約款は、公布の日から施行する。
附 則(平成31年4月1日告示第55号)
| 
 | 
この約款は、平成31年4月1日から施行する。
附 則(令和2年4月1日告示第18号)
| 
 | 
この告示は、公布の日から施行する。
附 則(令和3年4月1日告示第19号)
| 
 | 
この告示は、公布の日から施行する。
附 則(令和4年4月1日告示第21号)
| 
 | 
この告示は、公布の日から施行する。
附 則(令和5年4月1日告示第27号)
| 
 | 
この告示は、公布の日から施行する。
附 則(令和6年4月1日告示第17号)
| 
 | 
この告示は、公布の日から施行する。



