○富岡町財務規則
| (昭和57年12月23日規則第15号) | 
  | 
目次
第1章 総則(第1条-第6条)
第2章 予算
第1節 予算の編成(第7条-第12条)
第2節 予算の執行(第13条-第22条)
第3章 収入
第1節 徴収(第23条-第34条)
第2節 収納(第35条-第40条の3)
第3節 収入の過誤(第41条・第42条)
第4節 収入未済金(第43条-第46条)
第4章 支出
第1節 支出負担行為(第47条-第50条)
第2節 支出の方法(第51条-第57条)
第3節 支出の特例(第58条-第72条)
第4節 支払いの方法(第73条-第78条)
第5節 小切手(第79条-第85条)
第6節 支出の過誤等(第86条・第87条)
第7節 支払未済金(第88条-第90条)
第5章 決算(第91条-第93条)
第6章 契約
第1節 通則(第94条-第110条)
第2節 一般競争入札の方法による契約(第111条-第121条)
第3節 指名競争入札の方法による契約(第122条-第124条)
第4節 随意契約等(第125条-第129条)
第5節 監督及び検査(第130条-第132条)
第7章 出納機関(第133条-第135条)
第8章 指定金融機関等
第1節 通則(第136条-第141条)
第2節 収納(第142条-第148条)
第3節 支払い(第149条-第157条)
第4節 公金振替(第158条)
第5節 収支報告(第159条)
第6節 歳入歳出外現金(第160条・第161条)
第9章 現金及び有価証券(第162条-第167条)
第10章 財産
第1節 公有財産(第168条-第192条)
第2節 物品(第193条-第214条)
第3節 債権(第215条-第225条)
第4節 基金(第226条-第230条)
第11章 雑則
第1節 事故報告(第231条-第233条)
第2節 帳簿等(第234条-第241条)
第3節 特例等(第242条・第243条)
附則
第1章 総則
(趣旨)
第1条 この規則は、法令に別段の定めがあるものを除くほか、富岡町の財務に関し、必要な事項を定めるものとする。
(用語の定義)
第2条 この規則において、次の各号に掲げる用語の意義は、それぞれ当該各号に定めるところによる。
(1) 法 地方自治法(昭和22年法律第67号)をいう。
(2) 施行令 地方自治法施行令(昭和22年政令第16号)をいう。
(3) 施行規則 地方自治法施行規則(昭和22年内務省令第29号)をいう。
(4) 各課等の長 富岡町課設置条例(昭和53年富岡町条例第18号)第1条に定める課及び室の長保育所長並びに会計管理者の補助組織設置規則(昭和43年富岡町規則第19号)第2条に定める出納室の長、教育委員会事務局の課長、選挙管理委員会書記長、農業委員会事務局長及び議会事務局長をいう。
(5) 収入権者 町長又は次条の規定による専決権の授与(以下「専決権の授与」という。)により収入の調定をする者をいう。
(6) 支出負担行為権者 町長又は専決権の授与により支出負担行為を行う者をいう。
(7) 支出権者 町長又は専決権の授与により支出を命令する者をいう。
(8) 契約権者 町長又は専決権の授与により契約に関する事務を所掌する者をいう。
(9) 財産管理者 公有財産の管理に関する事務を所掌する者をいう。
(10) 物品管理者 町長又は専決権の授与により物品の管理及び処分に関する事務を所掌する者をいう。
(11) 出納機関 会計管理者又はその委任を受けた出納員若しくは当該出納員の委任を受けたその他の会計職員をいう。
(12) 指定公金事務取扱者 法第243条の2第1項の規定により町の公金の徴収又は収納に関する事務の委託を受けた私人をいう。
(13) 指定金融機関等 法第235条第2項の規定に基づき町が指定した指定金融機関、指定代理金融機関及び収納代理金融機関をいう。
(14) 支払金融機関 指定金融機関等のうち公金の支払いの事務の全部又は一部を取り扱う金融機関をいう。
(15) 財務会計システム 富岡町電子計算組織の管理運営に関する規定第2条第1項各号に定める電子計算組織、端末装置等の機器を利用して財務に関する事務を処理するシステムをいう。
[第2条第1項各号]
(16) 電子決裁 財務会計システムの電子決裁機能を用い、富岡町電子計算組織の管理運営に関する規定第2条第1項第3号に定める電算処理上の磁気記録により決裁、合議、回議、承認及び審査することをいう。
(専決及び代決)
第3条 財務に関する事務のうち、次の表の左欄に掲げる事項については、同表の当該右欄に掲げる者に専決処理させるものとする。
| 事項 | 専決処理させる者 | |||
| 1 第12条の規定による予算が成立した旨の通知をすること。 | 総務課長 | |||
| 2 第14条第3項の規定による予算執行計画及び資金計画の決定の通知をすること。 | 総務課長 | |||
| 3 第15条の規定による支出負担行為の配当をすること。 | 総務課長 | |||
| 4 第16条第1項及び第2項の規定による経費の流用の承認及び通知をすること。 | 1件の金額が10万円未満で、同一節内のもの以外のものにあっては、総務課長 | 1件の金額が10万円未満で、同一節内のものにあっては、各課等の長 | ||
| 5 第17条第2項及び第3項の規定による予備費の充当の承認及び通知をすること。 | 1件の金額が10万円未満のものにあっては、総務課長 | |||
| 6 地方譲与税、利子割交付金、地方消費税交付金、自動車取得税交付金、地方特例交付金、地方交付税及び交通安全対策特別交付金の調定をし、及び調定の通知をすること。 | 総務課長 | |||
| 7 分担金、負担金、使用料、手数料、国庫支出金及び県支出金の調定をし、及び調定の通知をすること。 | 各課等の長 | |||
| 8 財産収入を調定し、及び調定の通知をすること。 | 物品売払収入にあっては、総務課長 | 財産運用収入にあっては、各課等の長 | ||
| 9 現金の寄付を受けること。 | 1件の金額が1万円未満のものにあっては、総務課長 | |||
| 10 次に掲げる諸収入を調定し、及び調定の通知をすること。 | ||||
| (1) 延滞金、加算金及び滞納処分費 | 各課等の長 | |||
| (2) 預金利子 | 総務課長 | |||
| (3) 前2号に掲げる収入以外の諸収入 | 1件の金額が10万円以上50万円未満のものにあっては、総務課長 | 1件の金額が10万円未満のものにあっては、各課等の長 | ||
| 11 前5項に掲げる収入以外の収入を調定し、及び調定の通知をすること。 | 総務課長 | |||
| 12 第41条第1項の規定による過誤納金の還付をすること。 | 各課等の長 | |||
| 13 第42条第1項の規定による収入更正をすること。 | 各課等の長 | |||
| 14 第43条第1項の規定による督促状を発すること。 | 各課等の長 | |||
| 15 第44条第2項の規定による滞納処分員を命ずること。 | 各課等の長 | |||
| 16 次に掲げる経費について支出負担行為をすること。 | ||||
| (1) 報酬、給料、職員手当等、共済費、災害補償費、恩給及び退職年金 | 総務課長 | |||
| (2) 報償費 | 1件の金額が5万円以上10万円未満のものにあっては、総務課長 | 1件の金額が5万円未満のものにあっては、各課等の長 | ||
| (3) 旅費 | 各課等の長 | |||
| (4) 交際費 | 総務課長 | |||
| (5) 需用費 | ||||
| ア 燃料費及び光熱水費 | 各課等の長 | |||
| イ 食糧費 | 1件の金額が1万円以上5万円未満のものにあっては、総務課長 | 1件の金額が1万円未満のものにあっては、各課等の長 | ||
| ウ ア及びイを除く需用費 | 1件の金額が5万円以上10万円未満のものにあっては、総務課長 | 1件の金額が5万円未満のものにあっては、各課等の長 | ||
| (6) 役務費 | ||||
| ア 広告料 | 1件の金額が100万円未満のものにあっては、総務課長 | |||
| イ アを除く役務費 | 各課等の長 | |||
| (7) 委託料並びに使用料及び賃借料 | 1件の金額が10万円以上50万円未満のものにあっては、総務課長 | 1件の金額が10万円未満のものにあっては、各課等の長 | ||
| (8) 工事請負費 | 1件の金額が50万円未満のものにあっては、各課等の長 | |||
| (9) 原材料費 | 1件の金額が10万円以上50万円未満のものにあっては、総務課長 | 1件の金額が10万円未満のものにあっては、各課等の長 | ||
| (10) 公有財産購入費 | 1件の金額が50万円未満のものにあっては、各課等の長 | |||
| (11) 備品購入費 | 1件の金額が10万円以上50万円未満のものにあっては、総務課長 | 1件の金額が10万円未満のものにあっては、各課等の長 | ||
| (12) 負担金、補助及び交付金 | ||||
| ア 国民健康保険事業及び介護保険事業に伴う保険給付費 | 各課等の長 | |||
| イ アを除く負担金、補助及び交付金 | 1件の金額が5万円以上10万円未満のものにあっては、総務課長 | 1件の金額が5万円未満のものにあっては、各課等の長 | ||
| (13) 扶助費 | 各課等の長 | |||
| (14) 貸付金 | 1件の金額が100万円未満のものにあっては、各課等の長 | |||
| (15) 補償、補填及び賠償金 | 1件の金額が10万円以上50万円未満のものにあっては、総務課長 | 1件の金額が10万円未満のものにあっては、各課等の長 | ||
| (16) 償還金、利子及び割引料 | 1件の金額が100万円未満のものにあっては、総務課長 | |||
| (17) 投資及び出資金、積立金、寄付金、公課費並びに繰出金 | 1件の金額が10万円以上50万円未満のものにあっては、総務課長 | 1件の金額が10万円未満のものにあっては、各課等の長 | ||
| 17 歳入歳出外現金の取扱いに関すること。 | 各課等の長 | |||
| 18 支出負担行為の差引に関すること。 | 各課等の長 | |||
| 19 次に掲げる経費について支出を命令すること。 | ||||
| (1) 第16項の規定により総務課長が支出負担行為の専決処理をすることができるもの | 総務課長 | |||
| (2) 第16項の規定により各課等の長が支出負担行為の専決処理をすることができるもの | 各課等の長 | |||
| (3) 前2号に掲げるもの以外のもの | 1件の金額が100万円以上500万円未満のものにあっては、総務課長 | 1件の金額が100万円未満のものにあっては、各課等の長 | ||
| 20 第68条第1項の規定による繰替使用に係る繰替命令を発すること | 各課等の長 | |||
| 21 第86条第1項の規定による過誤納金の戻入の通知を発し、及び返納通知書を発すること。 | 各課等の長 | |||
| 22 第88条第4項の規定による小切手の償還請求に基づく支出の決定をし、及び支出命令を発すること | 各課等の長 | |||
| 23 第110条第1項の規定による契約の解除等の通知をすること。 | 各課等の長 | |||
| 24 第130条第1項又は第131条第1項の規定による監督員又は検査員を指定すること。 | 各課等の長 | |||
| 25 第179条第4項の規定による行政財産の使用の許可をすること。 | 同条第1項第2号及び第5号のものにあっては、各課等の長 | |||
| 26 物件の寄付の受納に関すること | 1件の評価額が10万円未満のものにあっては、総務課長 | |||
| 27 物品の管理に関すること。 | 各課等の長 | |||
| 28 物品の処分に関すること(次項に規定するものを除く。) | 所管換え及び1件の台帳価額が5万円以上50万円未満のものにあっては、総務課長 | 1件の台帳価額が5万円未満のものにあっては、各課等の長 | ||
| 29 第210条第1項の規定による物品の貸付けの承認をすること。 | 1件の台帳価額が50万円未満のものにあっては、各課等の長 | |||
[第12条] [第14条第3項] [第15条] [第16条第1項] [第2項] [第17条第2項] [第3項] [第41条第1項] [第42条第1項] [第43条第1項] [第44条第2項] [第68条第1項] [第86条第1項] [第88条第4項] [第110条第1項] [第130条第1項] [第131条第1項] [第210条第1項]
2 財務に関する事務のうち、町長、会計管理者又は各課等の長の権限に属する事務(専決権の授与による場合を含む。)について、当該権限を行使する者が不在のときは、次の各号に定める区分に従い、当該各号に定める者がその事務を代決することができる。
(1) 町長の権限に属する事務 副町長(副町長が不在の場合にあっては総務課長、副町長及び総務課長がともに不在の場合にあっては主管の各課等の長)
(2) 会計管理者の権限に属する事務 出納室長(出納室長が不在の場合にあっては、会計管理者があらかじめ指定する出納員)
(3) 各課等の長の権限に属する事務 課長補佐又はこれに相当する職にある者(課長補佐又はこれに相当する職にある者がともに不在の場合にあっては、各課等の長があらかじめ指定する職員)
3 前項の規定により代決することができる事案は、急施を要するものに限るものとし、かつ、代決した事案については、速やかに後閲を受けなければならない。
(総務課長への合議)
第4条 各課等の長は、この規則に別段の定めがある場合を除くほか、次の各号に掲げる事項については、総務課長に合議しなければならない。
(1) 
第16条第1項の規定により、経費の金額の流用をしようとするとき。
[第16条第1項]
(2) 町税の調定をしようとするとき。
(3) 分担金、負担金、国庫支出金、県支出金、又は寄附金について、その額を決定し、申請し、又は実績の報告をしようとするとき。
(4) 歳入(税を除く。)について、不納欠損処分をしようとするとき。
(5) 1件の設計価格又は予定価格が10万円以上の工事又は製造に係る起工を決定し、入札者等を選定し、及び、工期又は設計価格の変更で軽微な変更以外のものの決定をしようとするとき。
(6) 1件の予定価格が50万円以上の工事又は製造の請負契約を締結(当該契約の変更契約の締結を含む。)しようとするとき。
(7) 1件の予定価格が10万円以上の物件の売買契約を締結(当該契約の変更契約の締結を含む。)しようとするとき。ただし、前条第1項の規定により総務課長が専決できるものを除く。(以下次号及び第9号について同じ。)
(8) 委託料、負担金、補助及び交付金、貸付金、補償、補填及び賠償金、投資及び出資金又は寄附金の支出負担行為をしようとするとき。
(9) 前3号に掲げるものを除き、1件の金額が5万円以上の支出負担行為(人件費(事業費支弁に係るものを含む。)及び扶助費に係る支出負担行為を除く。)をしようとするとき。
(10) 1件の台帳価額が50万円以上の物品の処分をしようとするとき。
(11) 将来予算措置を要することとなる計画の策定をしようとするとき。
(12) 財務に関係がある条例、規則その他規程等を制定し、又は改廃しようとするとき。
(13) 財務に関係がある事項について、議会の議決、同意若しくは承認を求め、又は議会に報告しようとするとき。
(14) 前各号に定めるもののほか、町長が特に必要があると認めて指定する事項
(予算執行職員等の責任)
第5条 予算の執行その他財務に関する事務を処理する職員は、法令、契約及びこの規則に準拠し、かつ、予算で定めるところに従い、それぞれの職分に応じ、歳入を確保し、歳出を適正に執行する責を負う。
(予算の整理)
第6条 総務課長は、歳入予算現計表、歳出予算現計表(第1号様式)により、予算で定める款項及び目節の区分その他の区分に従い、これを整理しなければならない。
法第179条第1項又は法第180条第1項の規定により予算の専決処分があった場合、第16条第2項の規定により予算の流用の承認があった場合及び第17条第3項の規定により予備費の充当の決定があった場合においても、また同様とする。
第2章 予算
第1節 予算の編成
(予算の編成方針)
第7条 町長は、毎年12月20日までに、翌年度の予算の編成方針を定め、各課等の長に通知するものとする。
(予算見積書等の提出)
第8条 各課等の長は、前条の規定による通知に基づき、その所掌に属する事務事業に関する翌年度の予算の見積りについて、次の各号に掲げる書類を作成し、毎年1月15日までに総務課長に提出しなければならない。
(1) 歳入予算要求書(第2号様式)
(2) 歳出予算要求書(第3号様式)
2 前項の場合において、各課等の長は、次の各号に掲げる事項に関する定めを予算に設ける必要があると認めるときは、それぞれ当該各号に掲げる書類を作成し、前項各号に掲げる書類と併せて提出しなければならない。
(1) 継続費 継続費見積書(第5号様式)
(2) 繰越明許費 繰越明許費見積書(第6号様式)
(3) 債務負担行為 債務負担行為見積書(第7号様式)
3 各課等の長は、その所掌に属する次の各号に掲げる書類を作成し、前項各号に掲げる書類と併せて提出しなければならない。
(1) 既に設定された継続費の支出状況説明書(第8号様式)
(2) 既に設定された債務負担行為の支出額等説明書(第9号様式)
(予算の査定及び予算書の作成)
第9条 総務課長は、前条の規定により予算の見積りに関する書類の提出があったときは、その内容を審査し、必要な調整を加え、これに意見を付して、査定を受けるため町長に提出しなければならない。
2 総務課長は、前項の規定による審査に当たり必要があるときは、関係者の説明を求め、及び必要な資料の提出を求めることができる。
3 総務課長は、町長の査定が終了したときは、その結果を直ちに各課等の長に通知するとともに、その結果に基づいて予算書及び施行令第144条第1項各号に掲げる書類を作成し、町長に提出しなければならない。
(補正予算及び暫定予算の調製)
第10条 前3条の規定は、法第218条第1項又は第2項の規定により補正予算又は暫定予算を調製する場合について準用する。この場合において、第8条第1項各号及び第2項各号に掲げる書類の提出期日は、その都度総務課長が通知するところによる。
(歳入歳出予算の款項及び目節の区分)
第11条 歳入歳出予算の款項の区分は、毎年度歳入歳出予算の定めるところによる。
2 歳入歳出予算に係る目及び歳入予算に係る節の区分は、施行令第144条第1項第1号に規定する歳入歳出予算事項別明細書の定めるところによる。
3 歳出予算に係る節の区分は、施行規則第15条第2項の別記の歳出予算に係る節の区分のとおりとする。
(予算の成立の通知)
第12条 町長は、予算が成立したときは、直ちに各課等の長及び会計管理者に通知しなければならない。
第2節 予算の執行
(予算の執行方針)
第13条 町長は、予算の計画的かつ効果的な執行を確保するため、予算の成立後速やかに予算の執行計画を定めるに当たり留意すべき事項(以下「予算の執行方針」という。)を定め、各課等の長に通知するものとする。ただし、特に予算の執行方針を示す必要がないと認めるときはこの限りでない。
(予算執行計画及び資金計画)
第14条 各課等の長は、予算の執行方針に基づき速やかにその所掌に属する事務事業に関する収入計画書(第10号様式)及び予算執行計画書(第11号様式)を作成し、総務課長に提出しなければならない。
2 総務課長は、前項の規定により収入計画書及び予算執行計画書の提出があったときは、必要な調整を加え、これに会計管理者の意見を聞いて資金計画書(第12号様式)を作成し、予算執行計画書とともに、町長に提出しなければならない。
3 町長は、前項の規定により資金計画書及び予算執行計画書の提出があった場合において、これを適当と認めるときは当該計画を決定するとともに、予算執行計画については各課等の長に、資金計画については会計管理者に、通知するものとする。
4 前3項の規定は、予算執行計画及び資金計画について、予算の補正があった場合その他変更を加える必要がある場合に準用する。
(支出負担行為の配当)
第15条 各課等の長は、支出負担行為の配当を受けようとするときは、前条第3項の規定により通知された予算執行計画に基づき、人件費・継続費及び債務負担行為に係る経費については一時にその全額を、その他の経費については各四半期ごとに当該四半期開始前5日までに、当該四半期において執行することができる支出負担行為の執行の範囲について、支出負担行為配当申請書(第13号様式)により町長に申請しなければならない。これを変更する場合も、また、同様とする。
2 町長は、前項の規定により、支出負担行為の配当の申請があったときは、速やかに必要な調整を加え、支出負担行為配当書(第13号様式)により各課等の長に対し、執行することができる支出負担行為の配当をするものとする。
3 支出負担行為の配当は、節でもって行うものとする。ただし、需用費については必要に応じて節を細区分して配当することができる。
4 町長は、第2項の規定により支出負担行為を配当したときは、その旨を会計管理者に通知しなければならない。
5 
第16条第2項又は第17条第3項の規定により、経費の流用又は予備費の充当について承認の通知があったときは、当該流用又は充当に係る経費の範囲内において、支出負担行為の配当があったものとみなす。
(経費の流用)
第16条 各課等の長は、法第220条第2項ただし書の規定による各項の経費の金額の流用をしようとするとき、又は歳出予算事項別明細書に定めた目若しくは節の経費の金額の流用をしようとするときは、予算流用要求書(第14号様式)により町長の承認を受けなければならない。
2 町長は、前項の規定により項又は目若しくは節の経費の金額の流用を承認したときは、予算流用通知書(第14号様式)によりその旨を当該各課等の長に通知するものとする。この場合において、当該承認が目又は節の経費の金額の流用に係るものであるときは、併せてその旨を会計管理者に通知するものとする。
3 次の各号に掲げる経費の流用は、これをしてはならない。
(1) 人件費に属する経費の物件費に属する経費への流用
(2) 物件費に属する経費の人件費に属する経費への流用
(3) 交際費を増額するための流用
(4) 需用費のうち食糧費を増額するための流用
(5) 流用した経費の更に他の経費への流用
(予備費の充当)
第17条 各課等の長は、予算外の支出又は予算超過の支出に充てるため、予備費の充当を必要とするときは、予備費充当要求書(第14号様式)を作成し、総務課長に提出しなければならない。
2 総務課長は、前項の規定により予備費充当要求書の提出があったときは、これを審査し、必要な調整を加え、意見を付して町長に提出し、その承認を受けなければならない。
3 町長は、前項の規定により予備費の充当を承認したときは、予備費充当通知書(第14号様式)によりその旨を当該各課等の長に通知しなければならない。
(継続費の逓次繰越し)
第18条 各課等の長は、施行令第145条第1項の規定により継続費の逓次繰越しをする必要があるときは、継続費繰越説明書(第15号様式)を作成し、当該年度の3月31日までに、総務課長に提出しなければならない。
2 総務課長は、前項の規定により継続費繰越説明書の提出があったときは、これを整理し、町長の承認を受けなければならない。
3 町長は、前項の規定により継続費の逓次繰越しの承認をしたときは、その旨を当該各課等の長に通知するとともに、併せて会計管理者に通知しなければならない。
4 各課等の長は、第2項の規定により町長の承認を受けて継続費の逓次繰越しをしたときは、継続費繰越計算書を作成し、翌年度の5月20日までに総務課長に提出しなければならない。
5 総務課長は、前項の規定により提出があった継続費繰越計算書を整理し、これを町長に提出しなければならない。
(継続費の精算報告)
第19条 各課等の長は、継続費に係る継続年度が終了したときは、継続費精算報告書を作成し、当該継続費の終了年度の翌年度の6月30日までに総務課長に提出しなければならない。
2 前条第5項の規定は、前項の場合について準用する。
(繰越明許費の繰越し)
第20条 各課等の長は、予算の定めるところにより繰越明許費に係る繰越しをする必要があるときは、繰越明許費繰越説明書(第16号様式)を作成し、当該年度の3月31日までに、総務課長に提出しなければならない。
2 
第18条第2項から第5項までの規定は、前項の場合について準用する。この場合において、「継続費繰越説明書」とあるのは「繰越明許費繰越説明書」と、「継続費繰越計算書」とあるのは「繰越明許費繰越計算書」とそれぞれ読み替えるものとする。
(事故繰越し)
第21条 各課等の長は、法第220条第3項の規定により事故繰越しをする必要があるときは、事故繰越し繰越説明書(第17号様式)を作成し、当該年度の3月31日までに、総務課長に提出しなければならない。
2 
第18条第2項から第5項までの規定は、前項の場合について準用する。この場合において、「継続費繰越説明書」とあるのは「事故繰越し繰越説明書」と、「継続費繰越計算書」とあるのは「事故繰越し繰越計算書」とそれぞれ読み替えるものとする。
(収入月計票及び支出月計票)
第22条 各課等の長及び出納機関は、収入月計票(第18号様式)及び支出月計票(第19号様式)を備え、収入月計票には収入の状況を各月ごとに、支出月計票には支出負担行為の配当、経費の流用及び予備費の充当の状況を通知があったときに、並びに支出負担行為及び支出の状況を各月ごとに、記載し整理しなければならない。
第3章 収入
第1節 徴収
(収入金の前納)
第23条 収入金は、前納させなければならない。ただし、前納に適しないものについては、この限りでない。
(収入金の計算方法)
第24条 収入金の計算方法は、別段の定がある場合を除くほか、年額で定めたもので1年に満たないものについては月割で、月額で定めたもので1月に満たないものについては日割で行うものとする。
(調定の手続)
第25条 収入権者は、歳入を収入しようとするときは、当該歳入について施行令第154条第1項の規定するところにより調査し、その内容が適正であると認めたときは、歳入科目ごとに調定通知書(第20号様式)により収入の決定をしなければならない。
2 前項の場合において、歳入科目が同一であって、同時に2人以上の納入義務者に係る調定をしようとするときは、前項の規定による調定通知書に集合調定通知内訳書(第21号様式)を添付し、その内訳を明らかにして当該調定の合計額をもって調定することができる。
3 収入権者は、第1項の規定により調定をしたのちにおいて、当該調定に係る金額その他の事項を変更する必要が生じたときは、直ちに変更の調定をしなければならない。
4 収入権者は、調定をしたときは、第27条に規定する収入金を除き、直ちに徴収簿(第22号様式)を整理しなければならない。
[第27条]
(相殺の場合の調定)
第25条の2 収入権者は、法令の規定に基づき相殺があった場合において、当該相殺に係る歳入について調定をしていないときは、当該歳入の全額について調定をしなければならない。この場合において、相殺に係る収入金額が支払金額を超過するときは、当該相殺額及び超過額に相当する金額ごとに調定するものとする。
(調定の時期)
第26条 調定は、次の各号に掲げる区分に従い、当該各号に定める時期にしなければならない。
(1) 納期の一定している収入金で納入の通知を発するもの 町長が別に定めるものを除くほか、納期の10日前まで
(2) 納期の一定している収入金のうち申告納付又は申告納入に係るもの 申告書の提出のあったとき
(3) 随時の収入金で納入通知書を発するもの 原因の発生したとき
(4) 随時の収入金で納入通知書を発しないもの 原因の発生したとき又は収入のあったとき
2 収入権者は、法令、契約等の規定に基づき収入金について分割して納付させる特約又は処分をしている場合においては、当該特約又は処分に基づき納期の到来するごとに、当該納期に係る金額について調定をしなければならない。
(事後調定の手続)
第27条 収入権者は、前条第1項第2号及び第4号に掲げる収入金のうちその性質上納付前に調定できない収入金について収納があったときは、第38条第1項の規定により出納機関から納付書の送付を受けたのち直ちに、当該納付書に基づいて調定をしなければならない。
[第38条第1項]
(免かれた収入金の調定)
第28条 収入権者は、納期の到来した収入金で未調定のものがあることを発見したときは、その全額について、一時に調定をしなければならない。
(返納金の調定)
第29条 収入権者は、施行令第160条後段の規定により当該歳入を収入するときは、出納閉鎖期日の翌日において、現年度の歳入として調定をしなければならない。この場合において調定通知書には「戻入振替分」と表示しなければならない。
(支払未済金の調定)
第30条 収入権者は、第89条第2項の規定により出納機関から小切手等支払未済金繰入調書の送付を受けたときは、当該収入金を調定するとともに、その旨を当該支払未済金として整理された小切手又は隔地払資金に係る支出権者に通知しなければならない。
[第89条第2項]
(調定の通知)
第31条 収入権者は、調定をしたときは直ちに出納機関に対し、調定通知書(第20号様式)により調定の通知をしなければならない。
2 収入権者は、第25条第2項の規定により集合して調定をしたときは、集合して調定の通知をしなければならない。この場合において、集合調定通知内訳書(第21号様式)によりその内訳を明らかにしなければならない。
[第25条第2項]
3 
第27条に規定する収入金については、同条の規定により調定があったときは、その収納の時期において当該収入金に係る調定の通知があったものとみなす。
[第27条]
4 
第86条第1項の規定による戻入の通知があったときは、当該返納金について調定の通知があったものとみなす。
[第86条第1項]
5 出納機関は、第1項の規定により調定の通知を受けたときは、歳入簿を整理しなければならない。
(納期限)
第32条 収入金の納期限は、別段の定めがある場合を除くほか、次の各号に掲げる区分により指定しなければならない。
(1) 会計年度単位で定めた収入金 その年度の4月末日
(2) 月単位で定めた収入金 その月の10日
(3) 日単位で定めた収入金 その初日
(4) 前3号に定めるものを除く収入金 納入通知書を発する日から14日以内の日
(納入の通知)
第33条 収入権者は、調定をしたときは、施行令第154条第2項の規定により納入の通知を必要としないものを除き、直ちに納入義務者に対して納入通知書(第23号様式)を送付しなければならない。
2 収入権者は、前項の規定にかかわらず、次の各号に掲げる収入金については、納入通知書に代えて、口頭、掲示その他の方法により納入の通知をすることができる。
(1) 証明手数料、宿泊料その他これらに類するもので直接窓口等において取り扱う収入
(2) 入園料、入場料その他これらに類する収入
(3) 予防接種の実費その他これに類する収入
(4) せり売りその他これに類する収入
(5) 延滞金その他これに類する収入
(6) その他、納入通知書により難いと認められる収入金
3 収入権者は、納入義務者の住所又は居所が不明の場合においては、納入通知書の送付に代えて、公告をもって納入の通知をすることができる。この場合において、公告すべき事項は、納入通知書に記載すべき事項とする。
(相殺の場合の納入の通知)
第33条の2 収入権者は、第25条の2の規定により相殺に係る歳入の調定をしたときは、当該相殺に係る納入通知書に「相殺」の旨を表示するとともに関係の支出権者の職氏名を付記し、これを当該支出権者に送付しなければならない。
[第25条の2]
2 前項の場合において、収入権者は、相殺に係る収入金額が支払金額を超過する場合においては、速やかに当該超過額を納入すべき納入義務者に対しその表面余白に「相殺超過額」と朱書した当該超過額に係る納入通知書を発しなければならない。
3 前2項の規定は、既に納入義務者に対し納入の通知をした後において法令の規定に基づき相殺があった場合の手続きについて準用する。
4 
第34条第2項の規定は、前項の場合について準用する。
[第34条第2項]
5 第1項の通知を受けた支出権者は第70条に規定する振替収支により支出するものとする。
[第70条]
(納入通知書の再発行)
第34条 収入権者は、納入義務者から納入通知書を亡失し、又は損傷した旨の届出を受けたときは、遅滞なく新たに当該納入義務者に係る納入通知書を作成し、「再発行」と表示して、これを当該納入義務者に交付しなければならない。
2 収入権者は、第25条第2項の規定により金額に係る減額の調定の変更をした場合において、当該収入金について既に納入通知書が発せられているがまだその収納がなされていないものについては、直ちに納入義務者に対し、当該納入通知書に記載された納付すべき金額は変更されたので、既に送付した納入通知書により納入することがないようにされたい旨の通知をするとともに、新たに納入通知書を作成し、「再発行」と表示して、これを当該納入義務者に送付しなければならない。
[第25条第2項]
3 前2項の場合において、既に送付した納入通知書に記載した納期限は変更してはならない。
4 収入権者は、第2項に規定する場合を除くほか、既に送付した納入通知書に記載した内容に誤りを発見した場合は、納入通知書を再発行することができる。
第2節 収納
(直接収納)
第35条 出納機関は、出張して収納するとき、納入義務者が現金若しくは施行令第156条第1項に規定する証券(以下「証券」という。)を持参したとき、又は納入義務者から送金若しくは証券の送付があったときは、直接これを収納することができる。
2 出納機関は、前項の規定により現金又は証券を受領したときは、領収証書を当該納入義務者に交付しなければならない。この場合において、当該受領に係る収入金が証券によるものであるときは、当該交付する領収証書に「証券」と表示するとともに、これに係る関係証書にその旨を表示しなければならない。
3 前項の規定にかかわらず、次の各号に掲げる収入金については、それぞれ当該各号に掲げるものをもって領収証書に代えることができる。
(1) 自動金銭登録器に登録して収納する収入 自動金銭登録器による記録紙
(2) 入園料、入場料その他これらに類する収入 入園券、入場券等で領収金額が表示されたもの
4 第2項の場合において、当該直接収納に係る証券が当該納入義務者以外の者の振り出した小切手であるときは、当該納入義務者の裏書を求めなければならない。
5 出納機関は、現金又は証券を受領したときは、別段の定めがある場合を除くほか、その日のうちに納入通知書に当該現金又は証券を添えて、指定金融機関等に払い込まなければならない。
(小切手の支払地の区域の指定)
第36条 
施行令第156条第1項第1号の規定により町長が定める支払地の区域は、富岡町の区域とする。
(領収証書綴)
第37条 領収証書綴は、会計管理者が保管するものとし、出納機関又は指定公金事務取扱者の請求に基づき、必要に応じて交付するものとする。
2 前項に規定する者は、領収証書綴が使用済となったとき、長期間当該事務に従事しないこととなったとき、その他領収証書綴の使用を必要としなくなったときは、直ちにこれを会計管理者に返納しなければならない。
3 領収証書綴は、1冊ごとに連続番号を付しておくものとし、書損じ、汚損等があったことによりこれを使用できない場合においても破棄してはならない。
4 領収証書は、1枚につき1件を限り、所要事項を記載し、記名押印のうえ、納入者に交付するものとする。ただし、同一人について同一科目に2件以上の収納を行う場合においては、これを併せて1枚に記載することができる。
5 第1項に規定する者は、領収証書綴を亡失したときは、直ちにその旨を会計管理者に報告し、会計管理者にあってはその報告を受けたのち直ちにその旨を町長に報告しなければならない。
6 町長は、前項の規定により領収証書綴の亡失の報告があったときは、直ちに亡失した年月日、場所並びに領収証書綴の番号及び未使用枚数を公告し、亡失した事実を明らかにしておくものとする。
(収納後の手続)
第38条 出納機関は、第159条第3項及び第4項の規定により指定金融機関から収支日計表に添えて納付書の送付を受けたときは、直ちに納付書の領収日付により収納金通知書(第26号様式)を作成し、関係帳簿を整理するとともに、当該収納金通知書に指定金融機関から送付を受けた納付書を添えて収入権者に送付しなければならない。この場合において、証券で収納されたものに係る納付書にあっては、当該作成に係る収納金通知書には「証券」と記載しなければならない。
2 前項の場合において、当該作成に係る収納金通知書が第68条第1項の規定による繰替払命令に基づき繰替使用しているものに係るものであるときは、当該収納金通知書は、当該繰替使用した額を減額した額について作成し、及び繰替使用額を注記しなければならない。
[第68条第1項]
3 収入権者は、第1項の規定により収納金通知書及び納付書の送付を受けたときは、これに基づき徴収簿を整理するとともに、当該整理が終了したのち遅滞なく当該納付書を出納機関に返付しなければならない。この場合において、証券による収納に係るものにあっては、徴収簿に「証券」と記載しておかなければならない。
(支払拒絶に係る証券)
第39条 出納機関は、第144条第3項の規定により指定金融機関等から不渡通知書の送付を受けたときは、直ちに当該支払拒絶に係る額の収入を取り消すために、当該取消額に相当する額を減少額とする収納金通知書を作成し、これに基づき関係帳簿を整理するとともに、収入権者に不渡通知票を呈示して当該収納金通知書を送付しなければならない。この場合において、出納機関は送付を受けた不渡通知書が第35条第1項の規定により収納した証券に係るものであるときは、施行令第156条第3項の規定による通知に併せて当該証券に係る領収証書は無効である旨の通知をし、かつ、当該領収証書の返還を求めなければならない。
2 収入権者は、前項の規定による通知を受けたときは、直ちにこれに基づき徴収簿を整理するとともに「証券支払拒絶により再発行」の表示をした納入通知書を作成し、当該支払拒絶に係る証券の納入者に送付しなければならない。
3 
第34条第3項の規定は、前項の規定により納入通知書を再発行する場合に準用する。
[第34条第3項]
(徴収又は収納の事務の委託)
第40条 収入権者又は会計管理者は、法第243条の2第1項の規定により徴収又は収納の事務を委託しようとするときは、その内容及び委託をしようとする相手方の住所氏名、委託を必要とする理由その他必要な事項を記載した文書に当該委託契約書案を添えて町長の承認を受けなければならない。
2 指定公金事務取扱者は、町長が特に認める場合を除き、当該受託に係る事務を執行するときは、身分を示す証票(第27号様式)を携帯し、関係者の請求があるときは、これを呈示しなければならない。
3 指定公金事務取扱者は、収入金を収納したときは、別段の定めがある場合を除くほか、第35条第2項の規定を準用する。
[第35条第2項]
4 指定公金事務取扱者は、その徴収又は収納に係る収入金を契約等により別段の定めがある場合を除くほか、その日のうちに納入通知書に収入金計算書(第28号様式)を添えて、当該現金とともに指定金融機関等に払い込まなければならない。
(指定公金事務取扱者等の要件)
第40条の2 指定公金事務取扱者は、施行令第173条各号及び次の各号に掲げる要件のいずれにも該当する者とする。
(1) 委託する収納事務又はこれに類する事務について相当の知識及び経験を有していること。
(2) 委託する収納事務を遂行するために事業規模が十分と認められ、かつ、安定的な経営基盤を有していること。
(3) 電子計算機による情報システムその他委託する収納事務を遂行するために必要な体制が整備されていること。
(4) 収納に係る事項を帳簿(電子計算機を使用して作成するものを含む。)によって正確に記録し、かつ、当該記録を遅滞なく提供することができること。
(5) 収入金の安全確保のために十分な措置を講ずることができること。
(6) 収入金の払込みを確実かつ速やかに行うことができること。
(7) 納税者に関する情報の漏洩、改ざん、滅失、き損の防止その他納税者に関する情報の適正な管理のために必要な管理体制を有していること。
(指定納付受託者の指定等)
第40条の3 町長は、法第231条の2の3第1項に規定する指定納付受託者(以下「指定納付受託者」という。)を指定しようとするときは、会計管理者と協議しなければならない。
2 町長は、指定納付受託者の指定をしたときは、次に掲げる事項を告示しなければならない。
(1) 指定納付受託者の名称及び住所又は事務所の所在地
(2) 指定納付受託者の指定をした日
(3) 指定納付受託者が委託を受けて納付事務を行うことができる歳入等の種類
(4) 指定納付受託者が納付事務の委託を受けることができる期間
(5) 前各号に掲げるもののほか、必要な事項
3 前2項の規定は、前項各号に掲げる事項の変更又は指定の取り消しの場合について準用する。
第3節 収入の過誤
(過誤納還付)
第41条 収入権者は、施行令第165条の6の規定により当該収入した歳入から戻出するときは、過誤納金還付命令書(第29号様式)によりその還付額について戻出の決定をし、出納機関に対し戻出命令を発するとともに、徴収簿を整理しなければならない。
2 前項に定めるもののほか、還付の手続きについては、次章の規定の例による。この場合において、当該還付に係る小切手及び関係証書には「過誤納還付」と表示しなければならない。
(収入更正)
第42条 収入権者は、既に収入済の収入金について、会計、会計年度又は歳入科目に誤りがあることを発見したときは、直ちにこれを更正しなければならない。
2 収入権者は、前項の規定により収入の更正をするときは、科目更正書(第30号様式)により更正の調定を行い、直ちに出納機関に対し更正の通知をしなければならない。
3 同一の歳入科目について更正を要するものが2件以上あるときは、集合して更正の調定をし、及び更正通知をすることができる。この場合においては、集合収入更正内訳書(第31号様式)により、その内訳を明らかにしなければならない。
4 出納機関は、前項の規定による更正の通知が会計又は会計年度に係るものであるときは、指定金融機関に対し公金振替書により更正の通知をしなければならない。
第4節 収入未済金
(督促)
第43条 収入権者は、法第231条の3第1項の規定により督促をしようとするときは、当該納期限後20日以内に督促状(第33号様式)を発しなければならない。
2 前項に規定する督促状には、督促状を発する日から起算して10日以内の日を納期限として指定しなければならない。
3 収入権者は、第1項の規定により督促状を発したときは、督促手数料について調定をし、及び徴収簿を整理しなければならない。
(滞納処分)
第44条 収入権者は、前条第1項の規定により督促状を発した収入金が法第231条の3第3項に規定する収入金である場合において、当該督促状を発した日から起算して10日を経過した日までに当該督促に係る収入金が納入されないときは、直ちに滞納処分をしなければならない。
2 滞納処分を行う職員は、収入権者が職員のうちから命ずるものとする。
3 前項の規定により滞納処分の執行を命ぜられた職員は、その身分を示す証票(第34号様式)を携帯し、関係者の請求があるときは、これを呈示しなければならない。
(収入未済金の繰越し)
第45条 収入権者は、毎年度調定した収入金で当該年度の出納閉鎖期日までに収納にならないもの(不納欠損金として整理したものを除く。)があるときは、当該調定に係る収入金を、当該期日の翌日において翌年度の調定済額に繰り越さなければならない。
2 収入権者は、前項の規定により繰越した収入金で翌年度の末日までに収納にならないもの(不納欠損金として整理したものを除く。)については、その翌日において翌々年度の調定済額として繰越し、翌々年度末までになお収納済とならないもの(不納欠損金として整理したものを除く。)については、その後逓次繰越ししなければならない。
3 前2項の規定による収入未済金の繰越しは、調定通知書により行うものとする。
4 収入権者は、第1項又は第2項の規定により収入未済金を翌年度の調定済額に繰越ししたときは、その旨を調定通知書により出納機関に通知するとともに、収入未済金繰越内訳書(第35号様式)を作成し、徴収簿(収入未済金)の逓次繰越しにあっては、滞納繰越簿(第35号様式)を整理しなければならない。
(不納欠損金)
第46条 収入権者は、毎年度末において、既に調定した収入金(前条の規定により繰り越された収入未済金を含む。)に時効その他の事由により、その徴収の権利が消滅しているものがあるときは、不納欠損書(第36号様式)により町長の承認を受けて、不納欠損金として徴収簿及び滞納繰越簿を整理しなければならない。
2 収入権者は、前項の規定により不納欠損金として整理したときは、不納欠損書(第36号様式)により出納機関に通知しなければならない。
3 前2項の場合において、不納欠損金として整理すべきものが同一の歳入科目に2以上あるときは、これを集合して整理及び通知することができる。
4 第1項に規定する不納欠損書(第36号様式)には、その科目、金額、納入義務者の住所氏名及び事由を記載した文書を添付しなければならない。
第4章 支出
第1節 支出負担行為
(支出負担行為の原則)
第47条 支出負担行為は、第15条第2項の規定により支出負担行為の配当を受けた場合に、その配当を受けた範囲内においてのみ、これをすることができる。
[第15条第2項]
(支出負担行為の手続)
第48条 支出負担行為権者は、支出負担行為をするときは、別段の定めがある場合を除くほか、支出負担行為の内容を明らかにした支出負担行為書(第37号様式)を作成し、支出負担行為として整理したのちでなければこれをすることができない。
2 支出負担行為権者は、前項の規定により支出負担行為として整理したのちにおいて、当該支出負担行為に係る金額その他の事項を変更する必要があるときは、第87条第1項の規定により処理すべきものを除き、支出負担行為更正書(第37号様式)により処理しなければならない。
[第87条第1項]
3 支出負担行為権者は、支出負担行為の確認を受けるため、支出負担行為書に支出負担行為の内容を示す主な書類を添付して出納機関に送付しなければならない。
4 支出負担行為権者が支出負担行為をする場合における支出負担行為の範囲、支出負担行為として整理する時期、支出負担行為について出納機関の確認を受ける時期及び支出負担行為の内容を示す主な書類は、別表第1(その1)に定めるところによる。
[別表第1]
5 前項の別表第1(その1)に定める経費に係る支出負担行為であっても、別表第1(その2)に定める経費に係る支出負担行為に該当するものについては、別表第1(その2)に定めるところによる。
(集合して行う支出負担行為等)
第49条 支出負担行為権者は、予算の執行上必要があるときは、複数の歳出科目について一の支出負担行為をすることができる。この場合において、支出負担行為権者は、支出負担行為書に債権内訳書(第38号様式)を添付しなければならない。一の支出負担行為で支出しようとする債権者が2人以上あるときについても、また、同様とする。
2 支出負担行為権者は、予算の執行上必要があるときは、同一の節について他の支出負担行為権者と共同して一の支出負担行為をすることができる。この場合において、共同して支出負担行為をする者は、あらかじめ協議して必要事項を定め、当該支出負担行為書には債権内訳書を添付しなければならない。
3 前項の規定により共同で支出負担行為をすることができる歳出科目は、次のとおりとする。
(1) 需用費のうち、燃料費、食糧費、光熱水費、印刷製本費及び消耗品費
(2) 役務費のうち、通信運搬費
(3) 前2号に定めるもののほか、町長がその都度認めるもの。
(支出負担行為の確認)
第50条 出納機関は、第48条第3項の規定により支出負担行為書の送付を受けたときは、次の各号に掲げる事項について審査しなければならない。
[第48条第3項]
(1) 当該支出負担行為が、第15条第2項の規定による支出負担行為の配当を受けた範囲内のものであるか。
[第15条第2項]
(2) 当該支出負担行為が、法令又は予算に違反することがないか。
(3) 当該支出負担行為の金額の算定に誤りがないか。
(4) 当該支出負担行為に係る歳出予算の所属年度及び歳出科目の区分に誤りがないか。
2 出納機関は、前項の審査をするに当たり必要があるときは、支出負担行為権者に対し、関係書類の呈示を求めることができる。
3 出納機関は、第1項の規定による審査の結果適当であると認めるときはこれを確認し、支出負担行為書に確認印(第39号様式)を押印するとともに、関係書類を支出負担行為権者に返付しなければならない。ただし、出納機関が支出命令を受けたときに確認すべき支出負担行為に係る関係書類については、これを返付することを要しない。
4 出納機関は、第1項の規定による審査の結果確認することができないと認めるときは、理由を付し、関係書類を支出負担行為権者に返付しなければならない。
第2節 支出の方法
(支出義務等の通知)
第51条 支出負担行為権者は、支出負担行為をしたとき、支出負担行為の変更若しくは取消しをしたとき、又は支出負担行為の相手方の反対給付があったとき、その他支出負担行為に関する支出に関係のある事実が発生したときは、その都度、証拠書類及び関係書類を支出権者に送付しなければならない。ただし、支出負担行為権者が支出権者を兼ねている場合においては、この限りでない。
(支出の決定)
第52条 支出権者は、支出しようとするときは、法令、契約、請求書その他の関係書類に基づいて、支出の根拠、所属年度、歳出科目、金額、債権者等を調査し、その調査事項が適正であると認めたときは、直ちに支出命令書(第40号様式)により支出の決定をしなければならない。
2 支出権者は、第49条第1項又は第2項の規定による支出負担行為に係る支出については、前項に規定する支出命令書に債権内訳書(第38号様式)を添付して、集合又は共同して前項の規定による支出の決定をすることができる。
3 支出権者は、前項の規定により支出の決定をしたのちにおいて、当該決定に係る金額その他の事項を変更する必要が生じたときは、第87条第1項の規定により処理すべきものを除くほか、直ちに当該決定に係る金額その他の事項を変更する決定をしなければならない。
[第87条第1項]
(請求書による原則)
第53条 支出の決定は、原則として債権者からの請求書の提出をまってしなければならない。
2 請求書には、債権者の記名押印がなければならない。この場合において、請求書が代表者又は代理人名義のものであるときは、その資格権限の表示があり、かつ、職務上に係るものについては職印、その他のものについては認印の押印がなければならない。
3 前項の規定により表示された資格権限を認定し難いときは、その資格権限を証する書類を徴して、これを確認しなければならない。
4 債権者が代理人に請求権又は領収権を委任したときは、請求書には委任状を添付させなければならない。
5 債権の譲渡又は承継があった債務に係る支出については、請求書には、その事実を証する文書を添付させなければならない。
(請求書による原則の例外)
第54条 次の各号に掲げる経費については、別段の定めがある場合を除くほか、前条第1項の規定にかかわらず、請求書の提出をまたないで支出の決定をすることができる。
(1) 報酬、給料、職員手当等、恩給及び退職年金並びに旅費
(2) 負担金、補助及び交付金、貸付金、投資及び出資金、積立金、寄附金並びに繰出金
(3) 共済費
(4) 役務費のうち自動車損害保険料
(5) 補償、補填及び賠償金のうち補填金及び裁判所の判決に基づき支出する補償金又は賠償金
(6) 償還金、利子及び割引料(ただし、小切手支払未済償還金を除く。)
(7) 過誤納金の戻出金
(8) 職員である資金前渡経理者に前渡する経費
(9) 報償費のうち報償金及び賞賜金
(10) 扶助費のうち金銭でする給付
(11) 官公署の発する納入通知書その他これに類するものにより支払うべき経費
(12) 使用料及び賃借料のうち借地借家料
(報酬、給料等についての特例)
第55条 報酬、給料、職員手当等、恩給及び退職年金並びに報償費のうち報償金について、第52条から前条までの規定により支出命令書を作成する場合において、債権者に対し支出すべき金額から法令その他の規定により次の各号に掲げるものを控除すべきときは、支出命令書は、当該控除すべき金額及び当該控除すべき金額を控除した債権者が現に受けるべき金額を明示して作成しなければならない。
[第52条]
(1) 
所得税法(昭和40年法律第33号)に基づく源泉徴収に係る所得税
(2) 
地方税法(昭和25年法律第226号)に基づく特別徴収に係る県民税及び市町村民税
(3) 
地方公務員等共済組合法(昭和37年法律第152号)に基づく共済組合掛金等
(4) 
健康保険法(大正11年法律第70号)、船員保険法(昭和14年法律第73号)、厚生年金保険法(昭和29年法律第115号)及び雇用保険法(昭和49年法律第116号)に基づく保険料
(5) 前4号に定めるものを除くほか、地方公務員法(昭和25年法律第261号)第25条第2項又は労働基準法(昭和22年法律第49号)第24条第1項の規定により控除することができるとされているもの
(支出命令)
第56条 支出権者は、第52条第1項及び第3項の規定により支出の決定をしたときは、直ちに出納機関に対し支出命令書(第40号様式)により支出命令を発しなければならない。
2 支出権者は、第52条第2項の規定により集合又は共同して支出の決定をしたときは、集合又は共同して支出命令を発することができる。この場合において、前項に規定する支出命令書には、債権内訳書(第38号様式)を添付しなければならない。
[第52条第2項]
3 
支出命令書には、別段の定めがある場合を除くほか、別表第1に定める書類を添付しなければならない。
[別表第1]
第56条の2 次に掲げる経費の支出命令については、当該支出負担行為に係る債務が確定する前に行うことができるものとする。
(1) 電気、ガス又は水の供給を受ける契約に基づき支払をする経費
(2) 電気通信役務の提供を受ける契約に基づき支払をする経費
(3) 後納郵便、コピー用紙又はガソリンの購入、新聞購読に係る契約に基づき支払をする経費
(支出命令の審査確認)
第57条 出納機関は、支出命令を受けたときは、次の各号に掲げる事項について審査し、及び確認しなければならない。
(1) 支出命令を発したときに出納機関の確認を受けるべき支出負担行為を除き、当該支出負担行為について出納機関の確認を受けているか。
(2) 債権者は正当であるか。
(3) 支払時期が到来したものであるか。
(4) 時効は完成していないか。
(5) 支払いすべき金額の算定に誤りはないか。
(6) 証拠書類と符合しているか。
2 
第50条第2項及び第4項の規定は、第1項の審査及び確認について準用する。
3 前2項の規定は、第70条第3項の規定による振替の通知及び第87条第2項の規定による支出更正命令の審査及び確認について準用する。
第3節 支出の特例
(資金前渡をすることができる経費)
第58条 
施行令第161条第1項第15号及び第17号の規定により規則で定める経費は、次の各号に掲げる経費とする。
(1) 後納郵便に係る契約に基づき支払をする経費
(2) コピー用紙の購入に係る契約に基づき支払をする経費
(3) ガソリンの購入に係る契約に基づき支払をする経費
(4) 新聞購読に係る契約に基づき支払をする経費
(5) 供託金及び民事訴訟費用等に関する法律(昭和46年法律第40号)第12条第1項の規定による予納金
(6) 交際費
(7) 使用料及び賃借料
(8) 各種会議の会費及び負担金
(9) 児童手当
(10) 郵便はがき、郵便切手、収入印紙及び収入証紙の購入に要する経費
(11) 自動車重量税印紙の購入に要する経費
(12) 前各号に掲げるもののほか、即時支払をしなければ購入、利用、使用等が困難なものに要する経費で町長が別に定めるもの
(資金前渡手続)
第59条 支出権者は、施行令第161条第1項の規定により資金前渡の方法により支出しようとするときは、当該現金の支払いの事務に従事する職員(以下「資金前渡職員」という。)を指定し、当該職員を債権者として前節の例により処理しなければならない。この場合において、支出命令書には、「資金前渡」と表示しなければならない。
2 前項に規定する指定は、当該支出の内容及び支払時期を明らかにして、その都度行うものとする。ただし、特に必要があると認められるときは、あらかじめ指定しておくことができる。
3 資金の前渡は、事務上差し支えのない限り分割して行うものとする。
(前渡資金の保管)
第60条 資金前渡職員は、資金の前渡を受けたときは、直ちに支払う場合又は特別の事由がある場合を除くほか、前渡を受けた資金(以下「前渡資金」という。)をもよりの金融機関に貯金又は預金をしなければならない。
2 資金前渡職員は、前項の規定による貯金又は預金によって生じた利子については、利子記入期の都度(解約したときは解約のときに)その金額を支出権者に報告するとともに、これを町の収入とするため、指定金融機関等に払い込まなければならない。
(前渡資金の支払上の原則)
第61条 資金前渡職員は、前渡資金の支払いをするときは、法令又は契約の規定に基づき、当該支払いが資金前渡を受けた目的に適合するかどうか、正当であるかどうか、その他必要な事項を調査し、支払いをすべきものと認めるときは、支払いの決定をし、債権者から領収証書を徴して支払いをするとともに、債権者及び支払額が確定し、かつ、直ちに支払う経費を除き、前渡資金経理簿(第42号様式)を整理しなければならない。ただし、領収証書を徴し難いものについては、支払いを証明するに足りる書類を債権者その他の者から徴さなければならない。
(概算払をすることができる経費)
第62条 
施行令第162条第6号の規定により規則で定める経費は、次の各号に掲げる経費とする。
(1) 
生活保護法(昭和25年法律第144号)による保護施設、児童福祉法(昭和22年法律第164号)による児童福祉施設、身体障害者福祉法(昭和24年法律第283号)による身体障害者更生援護施設、知的障害者福祉法(昭和35年法律第37号)による知的障害者援護施設又は老人福祉法(昭和38年法律第133号)による老人福祉施設に要保護者、要援護者等の収容又は援護を委託する場合における当該委託に要する経費
(2) 損害賠償に要する経費
(3) 委託料
(概算払の手続)
第63条 支出権者は、施行令第162条の規定により概算払の方法により支出しようとするときは、前節の例により処理しなければならない。この場合において、支出命令書には「概算」と表示しなければならない。
(前渡資金及び概算払に係る資金の精算)
第64条 資金前渡職員又は概算払を受けた者は、支払いの日又は帰庁の日から7日以内(月を単位として定める経費にあってはその最終の支払いの日の属する月の翌月の10日まで)、概算払に係る旅費にあっては14日以内に、精算命令書(第43号様式)に関係書類を添付して支出権者に精算の報告をしなければならない。この場合において、補助金等に係る概算払の精算にあっては、補助事業等の完了の日(補助事業等の廃止の承認を受けたときは、その承認を受けた日)から14日以内にこれをすることができる。
2 支出権者は、前項の規定により報告を受けたときは、これに基づき関係帳簿を整理するとともに、同項に規定する書票を出納機関に送付しなければならない。
3 第1項の規定による精算ののちでなければ、当該者に対しては、次回の資金前渡又は概算払をすることができない。ただし、町長が特に認めた場合は、この限りでない。
(前金払をすることができる経費)
第65条 
施行令第163条第8号の規定により規則で定める経費は、次の各号に掲げる経費とする。
(1) 火災保険料その他これに類する経費)
(2) 検査、検定、試験、登録等を受けるために要する手数料等の経費
(公共工事の前金払)
第65条の2 
公共工事の前払金保証事業に関する法律(昭和27年法律第184号)第5条の規定に基づき登録を受けた保証事業会社の保証に係る公共工事に要する経費については、当該工事の請負金額又は委託金額が100万円以上(設計、調査又は測量に係るものにあっては、50万円以上)である場合に限り、その4割以内(設計、調査、測量又は機械類の製造に係るものにあっては、3割以内)の額の前金払をすることができる。
(前金払の手続)
第66条 支出権者は、施行令第163条又は同令附則第7条の規定による前金払の方法により支出しようとするときは、前節の例により処理しなければならない。この場合において、支出命令書には「前金」と表示しなければならない。
(前金払に係る資金の精算)
第67条 
第64条の規定は、前金払を受けた者が当該前金払の目的とされた事業に変更が生じたことにより当該前金払に係る資金について精算をする場合に準用する。
[第64条]
(繰替払の手続)
第68条 支出権者は、施行令第164条の規定による繰替払の方法により支出しようとするときは、あらかじめ収入権者と協議し、当該収入権者が出納機関に対し繰り替えて使用させる現金に係る調定の通知をするときに、併せて繰替払命令を発しなければならない。
2 前項の規定による繰替払命令は、調定通知書に繰替払命令印(第44号様式)を押印して行うものとし、かつ、当該調定通知書には当該支払いをさせようとする経費の算出の基礎その他算出方法を明らかにした書類を添付しなければならない。
3 出納機関は、第1項の規定により繰替払命令を受けたときは、速やかに指定金融機関等に当該命令を受けた事項を通知しなければならない。
4 出納機関は、第1項の規定による繰替払命令によりその収納に係る現金の繰替使用をするときは、当該命令を受けた支払うべき経費の算出の基礎その他算出方法によって支払額を算出し、繰替払整理票(第45号様式)を作成し、これに当該債権者の請求印及び受領印を徴したのち、当該支払額を支払わなければならない。
5 前項の場合においては、その収納した現金に係る払込内訳書は、繰替使用額を控除した額について作成するものとし、併せて繰替使用額を注記しておかなければならない。
6 出納機関は、第4項の規定により繰替払をしたとき又は第159条第5項の規定により繰替払整理票の送付を受けたときは、繰替払済通知票(第45号様式)を作成し、これを支出権者へ送付しなければならない。
[第159条第5項]
7 支出権者は、前項の規定により繰替払済通知票の送付を受けたときは、当該繰替使用が繰替払命令に適合するものであるか及び金額の算定に誤りがないか確認のうえ、第70条の規定により処理するものとする。
[第70条]
(過年度支出)
第69条 支出権者は、過年度に係る支出の決定をしようとするときは、その金額及び事由を記載した文書に請求書その他の関係書類を添えて、町長の承認を受けなければならない。
2 前項の支出に係る支出命令書には、「過年度支出」と表示しなければならない。
(振替収支)
第70条 次の各号に掲げる場合においては、この規則に別段の定めがある場合を除くほか、振替の方法により収入し、及び支出しなければならない。
(1) 歳出予算から支出して歳入予算に収入するとき。
(2) 歳入予算から戻出して歳出予算に戻入するとき。
(3) 歳入歳出外現金から払い出して歳入予算に受け入れるとき。
(4) 歳入予算から戻出して歳入歳出外現金に受け入れるとき。
(5) 歳入歳出外現金から払い出して歳出予算に戻入するとき。
(6) 歳出予算から支出して歳入歳出外現金に受け入れるとき。
(7) 法令の規定に基づき歳計剰余金又は歳入歳出外現金を翌年度に繰り越すため、支出し、及び収入し、又は払い出し、及び受け入れるとき、並びに基金へ積み立てるとき。
(8) 翌年度歳入を繰上充用するとき。
(9) 一般会計と特別会計との間において、繰り出し、及び繰り入れるとき。
(10) 基金と一般会計又は特別会計との間の収入及び支出をするとき。
2 支出権者は、前項の規定により振替の方法により支出しようとする場合は、あらかじめ当該受け入れすべき科目の収入権者と協議のうえ、振替命令書(第46号様式)により処理しなければならない。
3 収入権者は、第1項の規定により振替の方法により収入しようとする場合は、調定通知書により処理しなければならない。
(公金振替書)
第71条 出納機関は、前条第1項の規定により振替の方法により収入し、及び支出するとき、又は会計相互間の経費の支出を行うときは、公金振替書(第47号様式)を作成し、これを支払金融機関に交付しなければならない。
(支出事務の委託)
第72条 
第40条第1項の規定は、法第243条の2第1項の規定により私人に公金の支出に関する事務を委託しようとする場合に準用する。
[第40条第1項]
2 支出権者は、私人に支出の事務を委託する場合においては、当該委託に係る契約において、第60条に規定する事項を明らかにしなければならない。
[第60条]
3 
第59条、第61条及び第64条の規定は、当該委託に係る資金の交付、支払及び資金の精算について準用する。
第4節 支払いの方法
(支払いの方法)
第73条 出納機関は、支出命令を受けた場合において、第57条第1項の規定による審査の結果、当該支出命令が適法であると確認したときは、法令又は契約により別段の定めがある場合を除くほか、小切手を振り出すことによって支払うものとする。
[第57条第1項]
2 前項の規定により支払いをする場合において、支出命令書に「小切手払」と表示するとともに、債権者をして領収の旨の記名押印をさせたのち、支払金融機関を支払人とする小切手を振り出して、これを当該債権者に交付しなければならない。
(隔地払)
第74条 出納機関は、支払いが本町の区域以外の地域及び別に定める本町の隔地の地域の債権者に対するもので、小切手の振り出しが債権者のために著しく不便であると認めるときは、支払場所を指定し、送金払通知書(第48号様式)を債権者に送付するとともに、送金払請求書(第48号様式)を関係の支払金融機関に送付して支払いをしなければならない。この場合において、支出命令書には「送金払」と表示しなければならない。
2 前項の規定による支払場所の指定は、債権者のため最も便利と認められる支払金融機関に限るものとする。ただし、特に必要があると認めるときは、支払金融機関以外の金融機関を支払場所に指定することができる。
(口座振替)
第75条 
施行令第165条の2の規定により町長が定める金融機関は、次の各号のいずれかに定める金融機関とする。
(1) 支払金融機関と直接為替取引のある金融機関
(2) 富岡手形交換所に加盟している金融機関又は当該金融機関に手形交換を委託している金融機関
2 出納機関は、債権者に口座振替による支出をしようとするときは、指定金融機関に対し口座振替請求書(第49号様式)又は口座振替依頼書等を交付して支払いをしなければならない。
(口座振替の不能の場合の措置)
第75条の2 出納機関は、第152条第1項の規定により支払金融機関から「口座振替不能」の旨を表示した口座振替請求書の返付をうけたときは、債権者に対し口座振替をすることができない旨を通知しなければならない。
[第152条第1項]
2 出納機関は、前項の通知をした場合において、債権者から別段の申出があり、又は申出がなかったときは、その別に応じ、支払の手続をとるほか、支払命令書に「振替不能」の旨を表示し、さらに当該口座振替請求書に斜線を引き、これを保存しなければならない。
(現金払)
第76条 出納機関は、債権者が現金による支払いを申し出ているときは、支出命令書に債権者をして領収の旨の記名押印をさせ、当該債権者に対し支払切符(第50号様式)を交付し指定金融機関で支払いをしなければならない。
(隔地払、口座振替及び現金払による小切手の整理)
第77条 出納機関は、前3条の規定により支払った場合には、1日分の送金払請求額、口座振替請求額及び現金払請求額を合算した額を額面金額として、支払金融機関を受取人とする小切手を振り出し、その表面余白に「指図禁止」の表示をして交付しなければならない。
(官公署に対する支払い)
第78条 出納機関は、債権者が官公署であるときは、支出命令書に「官公署払込」と表示し、隔地払又は口座振替の方法により支払うものとする。ただし、官公署が別に支払方法を指定しているときは、この限りでない。
2 前項の規定により官公署払込をしようとするときは、前条に規定する小切手には官公署が発した納入の通知書(これに類するものを含む。)を添付しなければならない。
第5節 小切手
(小切手に関する事務)
第79条 出納機関は、次の各号に掲げる事務は自らしなければならない。ただし、特に必要と認めるときは、法第171条第1項に規定する職員のうち会計管理者の指定する職員(以下「補助職員」という。)に行わせることができる。
(1) 小切手の振出しに使用する出納機関の印鑑の保管及び小切手の押印
(2) 小切手帳の保管及び小切手の作成(押印を除く。)
(3) 小切手の交付
2 前項第1号及び第2号の規定による事務は、同一の補助職員をして行わせることはできない。
3 小切手の振出しに使用する出納機関の印鑑及び小切手帳は、不正に使用されることのないようにそれぞれ別の容器で厳重に保管しなければならない。
(小切手の作成)
第80条 小切手の記載は、この規則に別段の定めがある場合を除くほか、支出命令書に基づき正確明りょうに行わなければならない。この場合において、額面金額の記載は、チェックライターによりこれを行い、当該金額の頭初には「¥」記号を、末尾には「※」記号を付さなければならない。
2 前項の規定による記載を了したときは、小切手原符に所定の事項を転記し、その記載に相違がないと認めるときは、当該小切手の金額の欄の¥記号の頭初に当該小切手を作成した者の認印を押印しなければならない。
3 小切手の振出年月日の記載及び小切手の振出しに使用する出納機関の印鑑の押印は、当該小切手を受取人に交付するときにしなければならない。
(小切手の種類)
第81条 小切手は、この規則に別段の定めがある場合を除くほか、「持参人払式」又は「記名式」によるものとし、次の各号に定める区分により、これを振り出すものとする。
(1) 持参人払式の小切手 次の各号に規定する場合を除くすべての場合
(2) 記名式の小切手 次号に該当する場合を除き、額面金額が50万円以上の場合
(3) 指図禁止文句付記名式の小切手 会計管理者、出納員、資金前渡職員又は支払金融機関を受取人とする場合
2 出納機関は、前項第2号の規定にかかわらず、重要と認める支出に係る小切手については、記名式とすることができる。
(小切手の交付)
第82条 小切手は、当該小切手の受取人が正当な受領権限を有する者であることを確認したうえでなければ交付してはならない。
2 小切手は、受取人に交付するときでなければ、これを小切手帳から切り離してはならない。
(小切手の振出の確認)
第83条 出納機関は、毎日その振り出した小切手の原符と当該小切手の受取人の提出した領収証書とを照合し、それらの金額及び受取人について相違がないかどうかを検査しなければならない。
2 出納機関は、毎日その日の小切手振出済額について小切手振出票(第51号様式)を作成し、及び小切手振出済通知書(第51号様式)により支払金融機関に通知しなければならない。
3 出納機関は、小切手振出簿により毎日小切手帳の用紙枚数、小切手の振出枚数、小切手の廃棄枚数及び残存用紙の枚数について検査しなければならない。
(小切手帳)
第84条 出納機関は、会計及び会計年度(出納整理期間を含む。)ごとに常時1冊の小切手帳を使用しなければならない。ただし、会計管理者が会計の区分をする必要がないと認める場合はこの限りでない。
2 前項に規定する小切手帳の小切手用紙には、1年度間を通ずる整理番号を付するものとする。
3 出納機関は、小切手帳交付請求書(第52号様式)により支払金融機関に請求して小切手帳の交付を受けるものとし、交付を受けたときは、小切手用紙及び枚数を確認しなければならない。
4 出納機関は、出納期間の終了、会計の廃止その他の理由により小切手帳が不用となったときは、直ちに支払金融機関に提出して、その確認及び打抜器による打ち抜きを受け、打ち抜きを受けた小切手帳は、当該小切手帳から振り出した小切手に係る小切手原符とともに保管しなければならない。
5 出納機関は、小切手の振出しに使用する印鑑の印影を支払金融機関に送付しなければならない。この場合においては、当該印鑑の使用開始年月日を併せて通知しなければならない。
6 前項の規定は、同項に規定する印鑑を廃止した場合について準用する。この場合において、当該印鑑の廃止が新印鑑を使用することに伴うものであるときは、旧印鑑の廃止又は新印鑑の使用開始年月日のほか、旧印鑑を使用した最後の小切手の番号又は新印鑑を使用する最初の小切手の番号についても通知しなければならない。
(小切手の記載事項の訂正)
第85条 小切手の額面金額は訂正してはならない。
2 小切手の額面金額以外の記載事項を訂正する場合は、その訂正を要する部分に2線を引いてその上部に正書し、かつ、当該小切手の余白に訂正した旨及び訂正した文字の数を記載して出納機関の印鑑を押印しなければならない。
3 記載誤りその他の事由により使用しないこととする小切手用紙は、当該小切手用紙の表面全体に斜線を朱書したうえ、「使用不可」の旨を表示し、そのまま小切手帳に残しておかなければならない。
4 前項の規定により使用しない小切手用紙に係る小切手整理番号は、使用してはならない。
第6節 支出の過誤等
(過誤払金等の戻入)
第86条 支出権者は、施行令第159条の規定により過誤払金等の戻入の必要が生じたときは、速やかに戻入命令書(第53号様式)により、その事実を示す書類を添付して出納機関に戻入の通知をするとともに、返納義務者に対し、戻入通知書(第54号様式)を送付しなければならない。
2 
第57条の規定は、前項の規定により戻入の通知があった場合に準用する。
[第57条]
3 
戻入通知書により指定すべき返納期限は、これを発する日から7日以内としなければならない。
4 支出権者は、返納義務者から戻入通知書を亡失し、又は損傷した旨の届出を受けたときは、遅滞なく新たに当該返納義務者に係る戻入通知書を作成し、その表面の余白に「再発行」と表示し、これを当該返納義務者に送付しなければならない。この場合において、返納期限は変更することができない。
5 前4項に定めるもののほか、過誤払金等の戻入の手続については、前章の例による。
(支出更正)
第87条 支出権者は、支出した経費について、会計、会計年度又は歳出科目に誤りがあることを発見したときは、直ちにこれを更正しなければならない。
2 支出権者は、前項の規定により更正をするときは、科目更正書(第30号様式)により処理し出納機関に対し通知しなければならない。
3 同一の歳入科目について更正を要するものが2件以上あるときは、集合して更正の決定をし、及び支出更正命令を発することができる。この場合においては、集合支出更正内訳書(第31号様式)により、その内訳を明らかにしなければならない。
4 出納機関は、前項の規定による更正の命令が会計又は会計年度に係るものであるときは、支払金融機関に対し公金振替書により更正の通知をしなければならない。
第7節 支払未済金
(小切手の償還請求に基づく支払)
第88条 出納機関は、既に債権者に交付した小切手について、小切手法(昭和8年法律第57号)附則第72条又は施行令第165条の4の規定により償還の請求を受けたときは、次の各号に掲げる事項を調査し、償還すべきものと認めるときは、第4節の規定の例によりその償還をしなければならない。
(1) 当該小切手は、支払未済のものであるか。
(2) 当該小切手の記載事項は、その原符の記載事項と一致しているか。
(3) 当該償還請求権について時効は完成していないか。
(4) 当該償還請求が小切手法附則第72条の規定によるものであるときは、当該請求者は、失権当時正当な所持人であったか。
(5) 当該償還請求が施行令第165条の4の規定によるものであるときは、当該請求者は、正当な所持人であるか。
2 出納機関は、小切手の償還の請求をする者に対し、次の各号に掲げる書類を提出させなければならない。
(1) 小切手償還請求書
(2) 小切手又は除権判決の謄本
(3) 前2号に掲げるもののほか、必要と認める書類
3 出納機関は、償還請求に係る小切手が施行令第165条の5第2項の規定により、歳入に組み入れられた資金に係るものであるときは、第1項の規定にかかわらず同項各号に掲げる事項について調査し、償還すべきものと認めたときは関係書類を添えてその旨を支出権者に通知しなければならない。
4 支出権者は、前項の規定により小切手の償還の通知を受けたときは、第69条の規定にかかわらず、直ちに出納機関から送付を受けた関係書類に基づいて過年度に係る支出の決定をし、出納機関に対し支出命令を発しなければならない。
[第69条]
5 出納機関は、前項の規定により支出命令を受けたときは、第4節の規定の例により支払わなければならない。
(支払未済金の整理)
第89条 出納機関は、第154条第4項の規定により指定金融機関から小切手等支払未済調書の送付を受けたときは、これを検査し、正確であると認めるときは、これを歳入歳出外現金として整理しなければならない。同条同項の規定により支払額について通知を受けた場合も、また、同様とする。
[第154条第4項]
2 出納機関は、第155条第2項の規定により小切手等支払未済金繰入調書の送付を受けたときは、これを検査し、正確であると認めるときは、これを収入権者に送付するとともに、これに基づき前項に規定する歳入歳出外現金を整理しなければならない。
[第155条第2項]
(隔地払に係る支払未済の処理)
第90条 出納機関は、第155条第3項の規定により隔地払資金が歳入に繰り入れられたのちに、当該繰入れに係る送金払通知票を呈示してその支払いを求められた場合においては、関係書類を添えてその旨を支出権者に通知しなければならない。
[第155条第3項]
2 支出権者は、前項の規定による通知を受けたときは、第69条の規定の例により処理しなければならない。
[第69条]
第5章 決算
(決算事項報告書等の提出)
第91条 各課等の長は、その所掌に属する事務事業に係る歳入歳出予算の執行の結果について、歳入決算事項報告書(第55号様式)及び歳出決算事項報告書(第56号様式)を作成し、翌年度の6月30日までに会計管理者に提出しなければならない。
2 各課等の長は、その所掌に属する事務事業に係る歳入歳出予算の執行の結果について、主要な施策の成果を説明する書類を作成し、翌年度の8月31日までに総務課長を経て町長に提出しなければならない。
(歳計剰余金の処分)
第92条 総務課長は、法第233条の2の規定により歳計剰余金を翌年度の歳入又は基金に編入しようとするときは、町長の指示を受けて処理しなければならない。
(翌年度歳入の繰上充用)
第93条 会計管理者は、施行令第166条の2の規定により翌年度歳入の繰上充用を必要とするときは、出納閉鎖期日前10日までにその理由を付してその旨を総務課長に通知しなければならない。
2 総務課長は、前項の規定により通知を受けたときは、直ちに翌年度の歳入歳出予算の補正案を作成し、町長に提出しなければならない。
3 総務課長は、翌年度の歳入歳出予算に基づき、翌年度の歳入の繰上充用をしようとするときは、町長の指示を受けて処理しなければならない。
第6章 契約
第1節 通則
(契約書の作成)
第94条 契約権者は、契約を締結すべき相手方が決定したときは、速やかに契約書を作成しなければならない。
2 契約権者は、前項の契約書を作成する場合においては、必要な事項を記載した契約書案2通を当該相手方に送付しなければならない。
3 前項の規定により契約書案の送付を受けた相手方は、当該契約書案に住所氏名その他必要な事項を記載し、これに記名押印し、関係書類を添えて、これを契約権者に返付するものとする。
4 前項の規定により契約書の返付を受けた契約権者は、速やかにこれに記名押印して当該契約を確定させ、その1通を当該契約の相手方に送付しなければならない。
(契約書の記載事項)
第95条 工事又は製造(以下「工事等」という。)の請負契約に係る契約書には、次の各号に掲げる事項(別に定める富岡町工事請負契約約款により契約を締結する場合にあっては、第1号から第3号まで及び第16号に掲げる事項のほか当該契約約款に対する特約条項)を記載するものとする。
(1) 工事等の名称及び内容
(2) 請負代金の額
(3) 工事等の着手の時期及び完成の時期(以下「工期」という。)
(4) 契約保証金に関する定め
(5) 請負代金の全部若しくは一部の前金払又は出来形部分に対する支払の定めをするときは、その支払の時期及び方法
(6) 当事者の一方から設計変更又は工事等の着手の延期若しくは工事等の全部若しくは一部の中止の申出があった場合における工期の変更、請負代金の額の変更又は損害の負担及びそれらの額の算定方法に関する定め
(7) 天災その他不可抗力による工期の変更又は損害の負担及びその額の算定方法に関する定め
(8) 価格等(物価統制令(昭和21年勅令第118号)第2条に規定する価格等をいう。以下同じ。)の変動若しくは変更に基づく請負代金の額又は工事等の内容の変更に関する定め
(9) 工事等の施行により第三者が損害を受けた場合における賠償金の負担に関する定め
(10) 注文者が工事等に使用する資材を提供し、又は建設機械その他の機械を貸与するときは、その内容及び方法に関する定め
(11) 注文者が工事等の全部又は一部の完成を確認するための検査の時期及び方法並びに引渡しの時期
(12) 工事等の完成後における請負代金の支払いの時期及び方法
(13) 各当事者の履行の遅滞その他債務の不履行の場合における遅延利息、違約金その他の損害金に関する定め
(14) 談合等の不正行為による違約金に関する定め
(15) 工事等の目的物に瑕疵があった場合における担保責任に関する定め
(16) 契約に関する紛争の解決方法
(17) 前各号に掲げるものを除くほか、必要な事項
2 工事等の請負契約以外の契約に係る契約書には、次の各号に掲げる事項を記載するものとする。
(1) 給付の内容
(2) 契約代金の額
(3) 契約の履行期限
(4) 契約保証金に関する定め
(5) 契約代金の全部又は一部の前金払いの定めをするときは、その支払いの時期及び方法
(6) 当事者の一方から給付の内容の変更又は給付の中止の申出があった場合における損害の負担に関する定め
(7) 天災その他不可抗力による損害の負担に関する定め
(8) 価格等の変動若しくは変更に基づく契約代金の額又は給付の内容の変更に関する定め
(9) 給付の完了の確認又は検査の時期及び引渡しの時期
(10) 給付完了後における契約代金の支払いの時期及び方法
(11) 各当事者の履行の遅滞その他債務の不履行の場合における遅延利息、違約金その他の損害金に関する定め
(12) 契約に関する紛争の解決方法
(13) 給付の目的物に瑕疵があった場合における担保責任に関する定め
(14) 談合等の不正行為による違約金に関する定め
(15) 前各号に掲げるものを除くほか、必要な事項
3 工事等の請負契約に係る契約書には、その附属書類として、品名、数量、単価、内訳金額等を記入した請負代金内訳書、工程表、図面、設計書及び仕様書の添付がなければならない。ただし、契約権者が契約の性質その他特別の事由によりその添付の必要がないと認めるときは、その添付を省略することができる。
(契約書の作成の省略)
第96条 契約権者は、次の各号のいずれかに該当する場合においては、第94条第1項の規定にかかわらず、契約書の作成を省略することができる。
[第94条第1項]
(1) 工事等の請負契約でその請負代金の額が100万円未満であるものにつき、指名競争入札の方法による契約又は随意契約を締結する場合において、請書(第57号様式)の提出があったとき。
(2) 工事等の請負契約以外の契約でその契約代金の額が100万円未満であり、かつ、登記、登録等の手続きを必要としないものにつき、指名競争入札の方法による契約又は随意契約を締結する場合において、請書の提出があったとき。
(3) 物件の売払いの場合において、買主が直ちに現金を納めてその物件を引き取るとき。
(4) 請負代金又は契約代金の額50万円未満の場合で契約の履行が確実であると認められるとき。
(5) せり売りに付するとき。
(6) 官公署と契約をするとき。
(7) 郵便はがき、郵便切手、収入印紙及び収入証紙を購入する場合において即日納品されることが確実であると認められるとき。
(契約保証金の額等)
第97条 契約権者は、契約の相手方をして、請負代金又は契約代金の額の100分の10以上の額の契約保証金を現金(現金に代えて納付する小切手にあっては、指定金融機関又は指定代理金融機関が振り出したもの又は支払保証をしたものに限る。)で納めさせなければならない。
2 前項の規定による契約保証金の納付は、次の各号のいずれかに該当する担保の提供をもって代えることができる。
(1) 
第166条第1項各号に規定する有価証券
(2) 当該契約に係る債務の不履行により生ずる損害金の支払を保証する銀行、町長が確実と認める金融機関又は公共工事の前払金保証事業に関する法律第2条第4項に規定する保証事業会社の保証に係る証書
3 前項の場合において、同項第1号に規定する有価証券の担保価格の算定については、第166条第1項に規定するところによる。
[第166条第1項]
(契約保証金の納付)
第98条 契約権者は、契約の相手方をして、当該契約の締結と同時又は直前までに契約保証金を納めさせなければならない。
2 前項の規定による契約保証金の納付の手続きについては、契約権者が収入権者又は財産管理者となるほか、第3章又は第10章の規定の例による。
3 出納機関は、契約の相手方となるべく者が契約保証金の納付に代えて小切手を納付した場合において、契約上の義務の履行前に当該小切手の呈示期間が経過することとなるときは、その取立て及び当該取立てに係る現金の保管を関係の指定金融機関又は指定代理金融機関をして行わせなければならない。
(契約保証金の減免)
第99条 前2条の規定にかかわらず、契約権者は、次の各号のいずれかに該当する場合においては、契約保証金の全部又は一部の納付を免除することができる。
(1) 契約の相手方が官公署、その他町長がこれを準ずると認める法人であるとき。
(2) 契約の相手方が保険会社との間に町を被保険者とする履行保証保険契約を締結しているとき。
(3) 契約の相手方から委託を受けた保険会社と工事履行保証契約を締結したとき。
(4) 
施行令第167条の5第1項又は施行令第167条の11第2項の規定により入札に参加する者に必要な資格を定めた場合においては、契約の相手方が当該資格を有する者であって、過去2年間に国(予算決算及び会計令(昭和22年勅令第165号)第99条第9号に掲げる公庫、公団等を含む。)又は地方公共団体とその種類及び規模をほぼ同じくする契約を数回以上にわたり締結し、これらをすべて誠実に履行し、かつ、契約を履行しないこととなるおそれがないと認められるものであるとき。
(5) 随意契約を締結する場合において、請負代金又は契約代金の額が500万円未満であり、かつ、契約の相手方が契約を履行しないこととなるおそれがないと認められるとき。
(6) 1件500万円未満の物品の購入契約を締結する場合において、当該契約に係る物品が当該契約において定める期日までに確実に納入されるものと認められるとき。
(7) 1件500万円未満の建設工事又は製造の請負契約を締結する場合において、契約の相手方が契約を履行しないおそれがないと認められるとき。
(8) 前3号に掲げるもの以外の契約を締結する場合において、1件の契約金額が500万円未満であり、かつ契約の相手方が契約を履行しないおそれがないと認められるとき。
(9) 1件の契約金額が500万円未満の契約を締結する場合において、契約の相手方が第1号に掲げる公共団体以外の公共的団体で町長が指定するものであるとき。
(10) 町において、公用又は公共の用に供するため財産を購入する場合において、当該契約の締結と同時に登記義務者から登記をすることについての承諾書の提出があり、かつ、当該財産の引渡しが拒絶されるおそれがないと認められるとき。
(11) 法令に基づき延納が認められる場合において確実な担保が提供されたとき。
(12) 財産を売り払う契約を締結する場合において売払代金が即納されるとき。
(13) 試験研究、調査等の委託契約を締結する場合において、契約の相手方が契約を履行しないこととなるおそれがないと認められるものであるとき。
(14) 町において公用又は公共の用に供するため財産を借り入れる場合において、契約の相手方が契約を履行しないおそれがないと認められるとき。
(15) 貸付契約、補償契約その他契約の性質上契約保証金を納付させることが適さない契約を締結する場合において、契約の相手方が契約を履行しないおそれがないと認められるとき。
2 契約権者は、第1項第2号又は第3号の規定により契約保証金の納付を免除するときは、契約の相手方となるべき者をして、当該履行保証保険契約に係る保険証券又は当該公共工事履行保証契約に係る保証証券を提出させなければならない。
(契約保証金の還付)
第100条 契約保証金は、工事等又は給付の完了の確認又は検査の終了後に、契約の相手方から契約保証金還付請求書(第58号様式)及び当該契約保証金に係る領収証書の提出を受けて、これと引き換えに還付するものとする。
2 前項の規定による契約保証金の還付の手続については、契約権者が支出権者又は財産管理者となるほか、第4章又は第10章の規定の例による。
(連帯保証人)
第101条 契約権者は、必要があると認めるときは、契約の相手方となるべき者をして、連帯保証人を立てさせなければならない。
2 契約権者は、前項の場合においては、同項の規定により契約の相手方をして立てさせた連帯保証人について次の各号のいずれかに掲げる事由が生じたときはその事由が生じた日から5日以内にさらに連帯保証人を立てる旨を約定させなければならない。
(1) 連帯保証人が死亡し、又は解散したとき。
(2) 法令の規定により別段の資格を必要とされる連帯保証人がその資格を失ったとき。
(遅延利息)
第102条 契約の相手方の履行遅滞による遅延利息は、政府契約の支払遅延防止等に関する法律(昭和24年法律第256号)第8条第1項の規定に基き、財務省が定める割合としなければならない。
2 前項の場合において、別に分割履行を認める旨の約定をするときは、遅滞部分に相当する額についてのみ、これを計算するものとしなければならない。
3 前2項の規定により計算した遅延利息の額が100円未満であるときは、遅延利息を支払うことを要せず、その額に100円未満の端数があるときは、その端数を切り捨てるものとする。
(議会の議決に付すべき契約についての措置)
第103条 契約権者は、議会の議決に付すべき契約及び財産の取得又は処分に関する条例(昭和39年富岡町条例第24号)に規定する議会の議決に付すべき契約については、議会の議決を得た場合に本契約として成立するものとし、当該議決を得ることができなかった場合には契約を締結しなかったものとする旨の文言を当該契約書に付記しなければならない。
2 契約権者は、前項の契約の事案について議会の議決があったときは、速やかにその旨を契約の相手方に通知しなければならない。
(請負代金等の支出の制限)
第104条 請負代金又は契約代金は、第131条第1項の規定による検査を了したのちでなければこれを支出してはならない。
[第131条第1項]
(部分払)
第105条 契約権者は、工事等の既済部分又は物件の既納部分に対し完済前又は完納前に代価の一部を支払う旨の約定をするときは、請負代金又は契約代金の額が1件につき100万円以上である場合に限り、かつ、当該既済部分又は既納部分に対する代価が当該請負代金又は契約代金の10分の3(前金払に関する約定をもするときは、10分の5)を超えた場合においてのみこれを行うものとしなければならない。
2 前項の場合において、当該部分払をする額は、工事等についてはその既済部分に対する代価の10分の9、物件の買入れについてはその既納部分に対する代価を超えるものとしてはならない。ただし、性質上可分の工事等の完済部分に対しては、その代価の全額まで支払うものとすることができる。
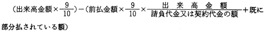
3 第1項の場合において、既に前金払により当該代金の一部を前払しているときは、当該部分払をする額は、次の算式により算定した額の範囲内としなければならない。
(1) 部分払をまだ一度もしていない場合
![]()  | 
(2) 部分払を既にしている場合
![]()  | 
4 部分払をする回数は、請負代金又は契約代金の額の別及び前金払の有無の別に応じ、原則として次の表に定めるとおりとする。
| 請負代金又は契約代金の額 | 前金払をしない場合 | 前金払をする場合 | 
| 1,000万円未満 | 2回以内 | 1回 | 
| 1,000万円以上2,000万円未満 | 3回以内 | 2回以内 | 
| 2,000万円以上 | 契約権者が町長の承認を得て契約の相手方と協議して定める回数 | |
(火災保険)
第106条 部分払に関する約定をする場合において、部分払の対象となる工事等に係るものがその性質上火災保険契約の目的となり得るものであるときは、特に必要がないと認める場合を除くほか、これについて火災保険を付し、かつ、当該保険証券を町に提出する旨を約定させなければならない。
2 前項の場合において、当該火災保険の保険金額は部分払をする金額を下らないものとし、かつ、少なくとも当該工事等が完済され、又は当該物件が完納されるまでをその保険期間として、これを約定させなければならない。
(権利義務の譲渡等の禁止の約定)
第107条 契約権者は、契約により生ずる権利又は義務をいかなる方法をもってするを問わず、譲渡し、承継させ、若しくは担保に供し、又は工事等若しくは物件の供給を一括して他人に請け負わせ、若しくは委任することができる旨の約定をしてはならない。ただし、特別の必要があって町長の承認を受けたときは、この限りでない。
(名義変更の届出)
第108条 契約権者は、法人又は組合とその代表者名義をもって契約する場合においては、その代表者に変更があったときはその名義変更に係る登記簿謄本その他のこれを証する文書を添えて、その旨を届け出るべき旨を約定させなければならない。
(契約の解除等)
第109条 契約権者は、次の各号のいずれかに該当する場合においては、契約を解除することができる旨の約定をすることができる。
(1) 契約期間内に契約を履行しないとき、又は履行の見込みがないと明らかに認められるとき。
(2) 契約で定める着手期日を過ぎても着手しないとき。
(3) 契約の相手方が解除を申し出たとき。
(4) 前各号のいずれかに該当する場合を除くほか、契約の相手方が契約に違反し、その違反によって契約の目的を達することができないとき、又はそのおそれがあるとき。
2 契約権者は、前項各号のいずれかに該当しない場合であっても、やむを得ない事由があるときは契約を解除し、又はその履行を中止させ若しくは、その一部を変更することがある旨の約定をすることができる。
(解除等の通知及び契約の変更)
第110条 契約権者は、前条の規定による約定に基づき契約を解除し、又はその履行を中止させるときは、その事由、期間その他必要な事項を記載した文書をもって契約の相手方にその旨を通知しなければならない。
2 契約権者は、前条第2項の規定による約定に基づき契約の一部を変更する必要があるときは、契約の相手方と当該契約の変更に関する契約を締結しなければならない。
第2節 一般競争入札の方法による契約
(一般競争入札の参加者の資格)
第111条 
施行令第167条の5第1項の規定による一般競争入札に参加する者に必要な資格は、町長が必要の都度これを定める。
2 前項の規定により一般競争入札に参加する者に必要な資格を定めたときは、掲示その他の方法によりこれを公示するものとする。
3 前項の場合においては、一般競争入札に参加しようとする者は、当該入札に参加する者として必要な資格を有することについて、契約権者の確認を受けなければならない旨を併せて公示するものとする。
4 前3項の規定は、施行令第167条の5の2の規定による一般競争入札に参加する者に必要な資格を定める場合に準用する。
(一般競争入札の公告)
第112条 契約権者は、一般競争入札の方法により契約を締結しようとする場合においては、入札期日の前日から起算して少なくとも15日前に掲示その他の方法により、次の各号に掲げる事項について公告をしなければならない。この場合において、急を要するときは、その期間を5日までに短縮することができる。
(1) 入札に付する事項
(2) 契約条項を示す場所及び期間
(3) 入札執行の場所及び日時
(4) 入札保証金及び契約保証金に関する事項
(5) 入札に参加する者に必要な資格
(6) 入札に参加する者は前号の資格を有することについて文書で契約権者の確認を受けなければならない旨
(7) 入札に参加する者に必要な資格のない者のした入札及び入札に関する条件に違反した入札は無効とする旨
(8) 契約が議会の議決を要するものであるときは、その議決を得たときに契約が成立する旨
(9) 富岡町工事請負契約約款により契約を締結する旨
(10) その他必要な事項
(一般競争入札参加者の資格の確認)
第113条 契約権者は、一般競争入札を行おうとするときは、入札に参加しようとする者について、入札に参加する者に必要な資格を有することを証明するに足りる書類を徴し、前条第5号に規定する入札参加資格の有無を確認しなければならない。
2 契約権者は、前項の規定により資格の確認をしたときは、その資格を有すると認めた者又は資格を有しないと認めた者に対し、それぞれの旨を通知しなければならない。
(入札保証金の額)
第114条 契約権者は、一般競争入札に参加しようとする者に対し、その者の見積りに係る入札金額の100分の5以上の額の入札保証金を現金(現金に代えて納付する小切手にあっては、指定金融機関又は指定代理金融機関が振り出したもの又は支払保証をしたものに限る。)で納めさせ、又はその納付に代えて担保として第166条第1項各号に規定する有価証券を提供させなければならない。この場合において、当該有価証券の担保価額の算定については、同項に規定するところによる。
(入札保証金の減免)
第115条 前条の規定にかかわらず、契約権者は、次の各号のいずれかに該当する場合においては、入札保証金の全部又は一部の納付を免除することができる。
(1) 一般競争入札に参加しようとする者が保険会社との間に町を被保険者とする入札保証保険契約を締結しているとき。
(2) 
施行令第167条の5第1項又は施行令第167条の11第2項の規定により入札に参加する者に必要な資格を定めた場合においては、一般競争入札に参加しようとする者が、当該資格を有する者であって、過去2年間に国(予算決算及び会計令第99条第9号に掲げる公庫、公団等を含む。)又は地方公共団体とその種類及び規模をほぼ同じくする契約を数回以上にわたり締結し、これらをすべて誠実に履行し、かつ、契約を締結しないこととなるおそれがないと認められるものであるとき。
(3) 1件100万円未満の物品の購入契約を締結する場合において、当該契約に係る物品が当該契約において定める期日までに確実に納入されるものと認められるとき(当該契約の締結の日から15日以内の日を当該期日としている場合に限る。)。
2 契約権者は、前項の規定により入札保証金の全部又は一部の納付の免除をする場合においては、入札に参加しようとする者ごとにこれを告げ、かつ、その旨を明らかにした書類を作成しておかなければならない。
3 契約権者は、第1項第1号の規定により入札保証金の納付を免除するときは、一般競争入札に参加しようとする者をして、当該入札保証保険契約に係る保険証券を提出させなければならない。
(入札保証金の納付等)
第116条 契約権者は、前条第1項の規定により入札保証金の全部の納付を免除した者を除くほか、入札に参加しようとする者をして、当該入札を執行する直前までに、入札保証金を納めさせなければならない。
2 前項の規定による入札保証金の納付の手続については、契約権者が収入権者又は財産管理者となるほか、第3章又は第10章の例による。
3 契約権者は、一般競争入札を執行する場合においては、当該入札に参加しようとする者をして、当該入札保証金に係る領収証書を呈示させ、その確認をしなければならない。
(入札保証金の還付)
第117条 入札保証金は、落札者以外の者に対しては落札者が決定したのち、落札者に対してはその者と締結する契約が確定したのちに、それぞれ入札保証金の納付者から入札保証金還付請求書(第58号様式)及び当該入札保証金に係る領収証書の提出を受けて、これと引き換えに還付するものとする。ただし、落札者の納付に係る入札保証金は、当該落札者の同意を得て契約保証金の全部又は一部に充当することができる。
2 前項の規定による入札保証金の還付の手続については、契約権者が支出権者又は財産管理者となるほか、第4章又は第10章の規定の例による。
(予定価格の設定)
第118条 契約権者は、一般競争入札に付する事項の価格を当該事項に関する仕様書、設計書等によって予定し、その予定価格を封書にし、開札の際これを開札の場所に置かなければならない。ただし、別に定める場合はこの限りではない。
2 予定価格は、一般競争入札に付する事項の価格の総額について定めなければならない。ただし、一定期間継続して行う製造、修繕、加工、売買、供給、使用等の契約の場合においては、単価についてその予定価格を定めることができる。
3 予定価格は、次の各号に掲げる価額によって定めなければならない。
(1) 契約の目的となる物件又は役務について物価統制令に規定する統制額(同令第3条第1項ただし書の規定による主務大臣の許可に係る価格等の額を含む。以下「統制額」という。)のある場合は、当該統制額を超えない価額
(2) 契約の目的となる物件又は役務について統制額のない場合は、契約権者が適正と認め決定した額
4 前項の規定により予定価格を定める場合においては、当該物件又は役務の取引の実例価格、需給の状況、履行の難易、契約数量の多少、履行期間の長短その他の事情を考慮しなければならない。
(入札の手続)
第119条 契約権者は、入札者をして契約条項その他関係書類及び現場を熟知させたのち入札書を1件ごとに作成させ、第112条第1項の規定による公告に示した日時に当該公告に示した場所においてこれを提出させなければならない。この場合において、入札者が代理人であるときは、その代理権を有することを証明するに足りる書類を提出させ、これを確認しなければならない。
[第112条第1項]
2 契約権者は、必要があると認めるときは、郵便による入札を行うことができる。
3 前項に規定する郵便による入札の手続については、町長が別に定める。
(再度入札)
第119条の2 契約権者は、第118条の規定により定めた予定価格の制限の範囲内の価格の入札がないとき(最低制限価格を設けた場合にあっては、予定価格の制限の範囲内の価格で最低制限価格以上の入札がないとき)は、直ちに再度の入札に付するものとする。
[第118条]
(再度公告入札)
第119条の3 契約権者は、入札若しくは落札者がない場合又は第109条第1項各号のいずれかに該当する事由が生じたことにより契約を解除した場合において、さらに入札に付そうとするときは、法令に別段の定めがある場合を除くほか、第112条第1項の期間は5日までにこれを短縮することができる。
[第109条第1項各号] [第112条第1項]
(最低価格の入札者以外の者を落札者とする場合)
第120条 契約権者は、施行令第167条の10第1項の規定を適用する必要があると認めるときは、直ちにその旨を町長に申し出て、その指示を受けなければならない。
2 契約権者は、施行令第167条の10第2項の規定により最低制限価格を設ける必要があると認めるときは、その都度個々の契約につき、これを定めなければならない。
3 前項の規定に基づく最低制限価格を設ける場合の基準は、別に定める。
4 
第118条第1項、第3項及び第4項の規定は、最低制限価格を設ける場合について準用する。
(落札の通知)
第121条 契約権者は、落札者が決定したときは、直ちにその旨を当該落札者に通知しなければならない。
第3節 指名競争入札の方法による契約
(指名競争入札の参加者の資格)
第122条 
施行令第167条の11第2項の規定による指名競争入札に参加するものに必要な資格は、町長が別に定める。
2 
第111条第2項及び第3項の規定は、前項の規定により指名競争入札に参加する者に必要な資格を定めた場合について準用する。
(指名競争入札の参加者の指名)
第123条 契約権者は指名競争入札の方法により契約を締結しようとするときは、当該入札に参加することができる資格を有する者のうちから当該入札に参加させようとする者をなるべく5人以上指名しなければならない。
2 契約権者は、前項の規定により入札に参加させようとする者を指名したときは、速やかに文書で第112条各号に規定する事項を通知しなければならない。
[第112条各号]
(一般競争入札の方法による契約に関する規定の準用)
第124条 
第113条から第121条までの規定は、指名競争入札の方法により契約を締結しようとする場合について準用する。
第4節 随意契約等
(随意契約による場合の予定価格の限度額)
第125条 
施行令第167条の2第1項第1号の規定により規則で定める額は、次の各号に掲げる契約の種類に応じ、それぞれ当該各号に定める額とする。
(1) 工事又は製造の請負 200万円
(2) 財産の買入れ 150万円
(3) 物件の借入れ 80万円
(4) 財産の売払い 50万円
(5) 物件の貸付け 30万円
(6) 前各号に掲げるもの以外のもの 100万円
(随意契約による場合の契約の相手方の制限)
第125条の2 契約権者は、施行令第167条の2第1項の規定により随意契約の方法により契約を締結しようとするときは、施行令第167条の4に規定する者を契約の相手方としてはならない。
(随意契約の手続)
第125条の3 施行令第167条の2第1項第3号及び第4号に規定する規則で定める手続は、次に掲げる事項を公表することとする。
(1) 契約の発注見通し
(2) 契約の締結前における当該契約の内容、契約の相手方の決定方法及び選定基準、申請方法等
(3) 契約の締結後における当該契約の締結状況
(予定価格の決定)
第126条 契約権者は、随意契約の方法により契約を締結しようとするときは、あらかじめ第118条第2項から第4項までの規定に準じて予定価格を定めなければならない。
(見積書の徴取)
第127条 契約権者は、随意契約の方法により契約を締結しようとするときは、契約書案その他見積りに必要な事項を示し、予定価格50万円未満の場合を除くほか、なるべく2人以上の者から見積書を徴さなければならない。
2 前項の規定にかかわらず、次の各号に掲げる場合にあっては、見積書を徴さないことができる。
(1) 郵便はがき、郵便切手、収入印紙等専売価格の定めがあるものの購入
(2) 官報、新聞、法規追録等の定期刊行物及び図書の購入
(3) 土地及び建物の購入又は借上げ。
(4) 賄材料のうち生鮮食料品の購入
(5) 1件の予定価格が2万円未満の賄材料(前号に掲げるものを除く。)の購入
(6) その他契約の内容又は性質上見積書を徴することが適当でないと認められるとき。
(せり売りの手続)
第128条 
第111条から第119条まで及び第121条の規定は、せり売りの場合について準用する。
(長期継続契約の締結手続)
第129条 契約権者は、法第234条の3の規定により翌年度以降にわたり不動産を借りる契約を締結しようとするときは、あらかじめ当該契約に係る契約書案その他の関係書類を添えて、総務課長を経て町長の承認を得なければならない。当該契約の重要な部分を変更する場合においても、また、同様とする。
第5節 監督及び検査
(監督)
第130条 契約権者は、工事等その他の請負契約を締結したときは、自ら又は職員のうちから指定する者(以下「監督員」という。)をして、当該契約の適正な履行を確保するため、立会い、工程の管理、使用材料の試験又は検査その他の方法により監督をし、又は監督をさせ、契約の相手方に必要な指示をしなければならない。
2 契約権者は、前項の規定により監督員を指定したときは、当該監督員の氏名を契約の相手方に通知しなければならない。
(検査)
第131条 契約権者又は契約権者が職員のうちから指定する者(以下「検査員」という。)は、工事等の請負契約その他の契約に係る工事等又は給付が完了したときは、契約書、仕様書、設計書その他の関係書類に基づき、かつ、必要に応じ当該契約に係る監督員の立会いを求めて、当該工事等又は給付の内容について検査をしなければならない。
2 検査員は、前項の規定により検査をするときは、契約の相手方又はその代理人の立会いを求めなければならない。
3 検査員は、第1項の規定により検査をしたときは、契約の内容を照査し、別段の定めがある場合を除くほか、工事等検査調書(第59号様式)又は検査調書(第60号様式)を作成しなければならない。
4 検査員は、第1項の規定により検査をした場合において、当該工事等又は給付の内容が当該契約の内容に適合していないと認めるときは、その旨及びそれに対する措置についての意見を前項の工事等検査調書又は検査調書に記載しなければならない。
5 第1項の規定は、約定により工事等の既済部分又は物件の既納部分に対し、完済前又は完納前に代価の一部を支払う必要がある場合の検査について準用する。
6 契約権者は、第1項の検査を完了したときは、工事等検査調書又は検査調書を関係の支出権者に送付しなければならない。
(監督又は検査の委託)
第132条 契約権者は、工事等の請負契約その他の契約について、特に専門的な知識又は技能を必要とすることその他の事由により監督又は検査を行うことが困難であり、又は適当でないと認めるときは、あらかじめ、当該契約に係る監督又は検査の委託に関し必要な事項を記載した文書により、町長の承認を得て、職員以外の者に委託して当該監督又は検査を行わせることができる。
2 契約権者は、前項の規定により職員以外の者に委託して監督又は検査を行わせるときは、当該委託をする者の住所氏名及び監督又は検査を委託した旨その他参考となる事項を記載した文書により契約の相手方に通知しなければならない。
3 
第130条第1項及び前条第1項から第5項までの規定は、第1項の規定により監督又は検査の委託をした場合における監督又は検査について準用する。
[第130条第1項]
第7章 出納機関
(会計管理者の事務を代理させることができる職員)
第133条 法第170条第3項の規定により会計管理者の事務を代理させることができる職員は、総務課長とする。
2 会計管理者及び総務課長にともに事故ある時は、出納室の職員のうち、次に定める上席の出納員とする。
(1) 職務の等級(職員の給与に関する条例(昭和41年2月1日条例第4号)第3条第1項に規定する給料表による職務の等級をいう。以下同じ。)が上位の者を上席とする。
(2) 職務の等級が同じであるときは、給料の号給が上位の者を上席とする。
(3) 職務の等級及び給料の号給がともに同じであるときは、その職務における在職期間の長い者を上席とし、なお、同じときは、職員としての在職期間の長い者を上席とする。
(その他の会計職員の設置)
第133条の2 
法第171条第1項の規定によるその他の会計職員は、分任出納員、現金取扱員及び物品取扱員とする。
2 分任出納員は、上司の命を受け現金の出納若しくは保管又は物品の出納若しくは保管の事務の一部をつかさどる。
3 現金取扱員は、上司の命を受け現金の出納又は保管の事務の一部をつかさどる。
4 物品取扱員は、上司の命を受け物品の出納又は保管の事務の一部をつかさどる。
(出納機関の職氏名等の通知)
第134条 会計管理者は、出納機関の職氏名をあらかじめ指定金融機関等に通知しておかなければならない。当該出納機関に異動があったときは、異動年月日、所掌事務その他異動に係る事項を併せて通知しなければならない。
(事務引継)
第135条 出納員又はその他の会計職員に異動があったときは、異動発令の日から7日以内にその所掌する事務を後任者に引き継がなければならない。
2 前項の規定により事務引継ぎをするときは、事務引継書(第61号様式)を作成し、現物と対照し、かつ、引継ぎをする者及び引継ぎを受ける者がこれに連署するとともに、帳簿については事務引継ぎの日において最終記帳の次に合計高及び年月日を記入して行わなければならない。
3 前項に定めるもののほか、出納員及びその他の会計職員は、事務引継ぎをするときは、次の各号に掲げる書類を各3通作成し、引継ぎをする者及び引継ぎを受ける者が各1通を保管し、1通は出納員にあっては会計管理者にその他の会計職員にあっては関係の出納員を経て会計管理者に提出しなければならない。
(1) 収入引継計算書(第62号様式)
(2) 支出引継計算書(第63号様式)
(3) 歳入歳出外現金等受入払出引継計算書(第64号様式)
(4) 現金引継計算書(第65号様式)
(5) 証券引継計算書(第66号様式)
(6) 物品引継計算書(第67号様式)
(7) 小切手引継計算書(第68号様式)
4 第1項の規定による事務引継ぎをする場合において、その所掌する事務を後任者に引き継ぐことができないときは、会計管理者の指定する出納員又はその他の会計職員に引き継がなければならない。この場合において、当該引継ぎを受けた出納員又はその他の会計職員は、当該後任者に引き継ぐことができるようになったときは、直ちにこれを当該後任者に引き継がなければならない。
5 出納員又はその他の会計職員が死亡その他の事由によって自ら事務引き継ぎをすることができないときは、会計管理者の指定する出納員又はその他の会計職員が前4項の規定の例により事務引継ぎを行わなければならない。
第8章 指定金融機関等
第1節 通則
(出納区分)
第136条 指定金融機関等(株式会社ゆうちょ銀行を除く。)は、その取り扱う現金(現金に代えて納付される証券を含む。)について、歳計現金にあっては会計及び会計年度別に、歳入歳出外現金にあっては会計年度別に取り扱わなければならない。
(小切手帳の交付)
第137条 支払金融機関は、第84条第3項の規定により小切手帳の請求があったときは、小切手帳受領書(第52号様式)と引換えにこれを交付しなければならない。
[第84条第3項]
(指定金融機関等の使用する印鑑)
第138条 指定金融機関等(株式会社ゆうちょ銀行を除く。)は、富岡町の公金の出納のために使用する印鑑の印影をあらかじめ出納機関に届け出ておかなければならない。
(印影の照合確認)
第139条 指定金融機関等は、第84条第5項の規定により出納機関から送付を受けた印影を整理しておくとともに、支払いの都度、これと照合確認しなければならない。
[第84条第5項]
(出納に関する証明等)
第140条 指定金融機関等は、出納機関から町に属する公金の収納及び支払いに関して証明又は報告を求められたときは、その証明又は報告をしなければならない。
(帳簿書類の保存)
第141条 指定金融機関等は、収納及び支払いに関する帳簿書類を年度別及び会計別に区分し、年度経過後、少なくとも帳簿にあっては10年間、その他の書類にあっては5年間、これを保存しなければならない。
第2節 収納
(現金の収納)
第142条 指定金融機関等は、納入義務者、出納機関又は指定公金事務取扱者から納入通知書又は督促状(以下「納入通知書等」という。)により現金の納付を受けたときは、これを領収し、当該納入者、出納機関又は指定公金事務取扱者に領収証書を交付するとともに、町の預金口座に受け入れる手続をとらなければならない。
2 前項の納入通知書等は、領収年月日を付して当該指定金融機関等において保存しなければならない。
(口座振替又は郵便振替による収納)
第143条 指定金融機関等は、納入義務者から口座振替又は郵便振替の方法により納付する旨の申出を受けたときは、納入通知書等に基づき、当該申出に係る金額をその者の預金口座から町の預金口座に振り替える手続をとるとともに、当該納入者に領収証書を交付しなければならない。
2 前条第2項の規定は、前項の納入通知書等の保存について準用する。
(証券による収納)
第144条 指定金融機関等は、納入通知書等により納入義務者、出納機関又は指定公金事務取扱者から証券で納付を受けたときは、当該証券が施行令第156条第2項に該当する場合を除きこれを領収し、当該納入者、出納機関又は指定公金事務取扱者に領収証書を交付しなければならない。この場合において、当該交付する領収証書に「証券」と表示するとともに、これに係る関係証書にその旨を表示しなければならない。
2 指定金融機関等は、領収した証券について町の預金口座に受入れるため、遅滞なくこれを支払人に呈示して支払の請求をしなければならない。
3 指定金融機関等は、証券に係る支払いを請求した場合において、当該証券に係る支払いが拒絶されたときは、直ちに、小切手にあっては小切手法第39条の規定による支払拒絶の証明を、その他の証券にあっては支払拒絶の旨の証明を受け、これにより不渡通知書(第69号様式)を作成し、納入義務者から納入された証券にあっては、施行令第156条第3項の規定による通知に併せて当該証券に係る領収証書は無効である旨の通知をし、かつ、当該領収証書の返還を求めるほか、不渡通知書を出納機関に送付するものとし出納機関から納付された証券にあっては、これを不渡通知書に添えて出納機関へ送付しなければならない。
4 
第142条第2項の規定は、第1項の納入通知書等の保存について準用する。
[第142条第2項]
(過年度に属する収入金の収納)
第145条 指定金融機関等は、毎年度歳入の受け入れをすることができる期間の経過後、納入義務者から当該年度の記載のある納入通知書、戻入通知書又は督促状を添えて、現金又は証券の納付を受けたときは、これを現年度の歳入として受け入れる手続をとるほか、前3条の規定による手続をとらなければならない。
(過誤払金等の戻入)
第146条 指定金融機関等は、第86条の規定による戻入通知書により過誤払金等の返納を受けたときは、これを領収し、当該納入者に領収証書を交付するとともに、歳出に戻入する手続をとらなければならない。
[第86条]
2 
第142条第2項の規定は、前項の戻入通知書の保存について準用する。
[第142条第2項]
(指定金融機関に対する払込み)
第147条 指定代理金融機関及び収納代理金融機関は、第142条から前条までの規定により、現金又は証券を領収したときは、第144条第3項の規定による手続をとるものを除くほか、当該領収の日に次ぐ第2の取引日まで(当該領収の日が出納閉鎖期日又はその前日であるときは、別に定めるものを除き、出納閉鎖期日)に指定金融機関に払い込まなければならない。ただし、町長が特に認める場合は、当該領収の日から7営業日以内とすることができる。
(収入金に係る会計又は会計年度の更正)
第148条 指定金融機関は、第42条第3項の規定により出納機関から公金振替書により会計又は会計年度の更正の通知を受けたときは、直ちに更正の手続をとらなければならない。
[第42条第3項]
第3節 支払い
(支払前の確認義務及び支払い)
第149条 支払金融機関は、支払切符、小切手又は送金払通知書を呈示して支払いの請求をする者があるときは、その者が正当な債権者又はその委任を受けた者であることを確認したのちでなければ、支払いをしてはならない。
2 支払金融機関は、前項に定める場合を除くほか、次の各号のいずれかに該当する場合は支払いをしてはならない。
(1) 
支払切符、小切手又は送金払通知書が正規のものでないとき。
(2) 出納機関から送金払請求書の送付を受けた指定金融機関から送金に関する案内書類が到達していないとき。又は到達していてもこれと送金払通知書とが符合しないとき。若しくは照合しがたいとき。
(3) 小切手、送金払通知書又は前号の送金に関する案内書類の金額又は債権者名が改ざんされているとき。
(4) 出納機関の印影が明りょうでないとき。又は第84条第5項の規定により送付を受けた印影と符合しないとき。
[第84条第5項]
(5) 亡失又は損傷により支払未済であることの証明をしたものについて当初発行に係る小切手又は送金払通知書が呈示されたとき。
(6) 小切手は、その振出日から1年を経過したものであるとき。
(7) 送金払通知書に係る資金は、交付の日から1年を経過したものであるとき。
(8) 小切手がその振出日の属する年度の出納閉鎖期日経過後に呈示されたものであるときは、当該小切手に係る資金が第155条第1項の規定による小切手等支払未済繰越金として整理されているものでないとき。
[第155条第1項]
(9) その他支払又は送金に関する手続要件に反していると認められるとき。
3 支払金融機関は、前2項の規定により支払うべきものと認めるときは当該支払切符と引換えに、小切手にあってはその裏面に送金払通知書にあってはその所定の欄にそれぞれ住所及び氏名を記名押印させたのちこれと引換えに、それぞれ現金を交付しなければならない。
4 支払金融機関は、第1項の規定による確認の結果及び第2項各号のいずれかに該当し支払うべきものでないと認めるときは、出納機関に照会し、適切な措置をとらなければならない。
5 支払金融機関は、毎日その日の小切手に係る現金の支払額について、第83条第2項の規定により出納機関から送付を受けた小切手振出済通知書により照合しなければならない。
[第83条第2項]
(振出日から1年を経過した小切手等の取扱い)
第150条 支払金融機関は、前条第2項第7号又は第8号の規定に該当する場合は、当該小切手又は送金払通知書の表面余白に「支払期限経過」と表示し、これを呈示したものに返付しなければならない。
(隔地払の手続)
第151条 支払金融機関は、第74条第1項の規定により送金払請求書の送付を受けたときは、支払場所に指定された金融機関に対し、速やかに送金の手続をしなければならない。
[第74条第1項]
(口座振替の手続)
第152条 支払金融機関は、第75条第2項の規定により口座振替請求書の送付を受けた場合において、口座振替をすることができるときは、直ちに当該債権者の預金口座に振替の手続をし、口座振替をすることができないときは当該口座振替請求書に「口座振替不能」の旨を表示してこれを出納機関に返付しなければならない。
[第75条第2項]
2 支払金融機関は、前項の規定により口座振替をしたときは、その旨を口座振替通知書(第49号様式)により債権者に通知しなければならない。ただし、会計管理者がその必要がないと認めたときは、この限りでない。
(繰替払の手続)
第153条 指定金融機関等は、第68条第3項の規定による通知に基づきその収納に係る現金の繰替使用をしようとするときは、当該通知を受けた支払うべき経費の算出の基礎その他算出方法によって支払額を算出し、繰替払整理表を作成し、これに当該債権者の請求印及び受領印を徴したのち、当該支払額を支払わなければならない。
[第68条第3項]
2 前項の場合においては、その収納した現金に係る納付済通知書は、繰替使用額を控除した額について作成するものとし、併せて繰替使用額を注記しておかなければならない。
(支払未済金の整理)
第154条 支払金融機関は、毎年度の小切手振出済金額のうち出納閉鎖期日までに支払いを終らないものがあるときは、当該未払金額に相当する金額を小切手等支払未済繰越金として整理するとともに、小切手等支払未済調書(第70号様式)を作成し、指定金融機関にあってはこれを出納機関に、指定代理金融機関にあってはこれを指定金融機関に送付しなければならない。
2 支払金融機関は、出納閉鎖期日後において、その振出日付の属する年度が前年度のものである小切手の呈示を受けて支払いを求められたときは、当該小切手がその振出の日から1年を経過していないものである場合に限り、前項の小切手等支払未済繰越金から支払いをしなければならない。
3 支払金融機関は、前項の規定により小切手等支払未済繰越金から支払いを行ったときは、指定金融機関にあっては出納機関に、指定代理金融機関にあっては指定金融機関に、その都度これを通知しなければならない。
4 指定金融機関は、第1項の規定により指定代理金融機関から小切手等支払未済調書の送付を受けたときは、これをとりまとめて出納機関に送付しなければならない。前項の規定により支払いの通知を受けた場合も、また同様とする。
(支払未済金の歳入への繰入れ)
第155条 支払金融機関は、前条第1項の規定による小切手等支払未済繰越金のうち、小切手の振出日付から1年を経過してもなお支払いが終わらないものに係る金額を毎月分とりまとめて、翌月5日までにその経過した日の属する年度の歳入に繰り入れ、直ちに小切手等支払未済金繰入調書(第71号様式)を作成し、指定金融機関にあってはこれを出納機関に、指定代理金融機関にあってはこれを指定金融機関に送付しなければならない。
2 指定金融機関は、前項の規定により指定代理金融機関から小切手等支払未済金繰入調書の送付を受けたときは、これをとりまとめて、速やかに出納機関に送付しなければならない。
3 前2項の規定は、施行令第165条の5第3項の規定により隔地払資金のうち1年を経過しても支払いを終らないものを、その経過した日の属する年度の歳入に繰入れる場合に準用する。
(過誤納金の戻出)
第156条 支払金融機関は、第41条第2項の規定により「過誤納還付」と表示された小切手及び関係書票により過誤納金の請求を受けたときは、当該歳入から戻出する手続をとらなければならない。
[第41条第2項]
2 
第149条から第152条までの規定は、前項の規定により戻出する場合について準用する。
(支出金に係る会計又は会計年度の更正)
第157条 
第148条の規定は、第87条第3項の規定による公金振替書により更正の通知を受けた場合に準用する。
第4節 公金振替
(公金振替の手続)
第158条 支払金融機関は、第71条の規定により公金振替書の交付を受けたときは、直ちに振替の手続をとり、公金振替済通知書(第47号様式)を出納機関に送付しなければならない。
[第71条]
第5節 収支報告
(収支報告)
第159条 指定代理金融機関は、毎日その日に取り扱った公金の収納及び支払いの状況について、収支日計表(第72号様式)を作成し、その翌日までに、指定金融機関に送付しなければならない。
2 前項の規定は、収納代理金融機関の取り扱った公金の収納に係る収支日計表について準用する。
3 指定金融機関は、毎日その前日に取り扱った公金の収納及び支払いの状況と、前2項の規定により送付を受けた収支日計表とをとりまとめて、収支日計表を作成し翌日までに出納機関に送付しなければならない。
4 
収支日計表には、納付済通知書、戻入済通知書及び公金振替済通知書を添えなければならない。
5 支払金融機関は、第68条第3項の規定による通知に基づき繰替払をしたときは、収支日計表は、当該繰替使用した額を控除した額について記載するものとし、第153条第1項の規定による繰替払整理票を添えなければならない。
第6節 歳入歳出外現金
(歳入歳出外現金の受入れ及び払出し)
第160条 前5節の規定は、歳入歳出外現金の受入及び払出しの手続きについて準用する。
(歳入歳出外現金の繰越し)
第161条 指定金融機関等は、毎年度3月31日において、歳入歳出外現金に残高があるときは、出納機関の通知をまたないで、これを翌年度に繰り越さなければならない。
2 指定金融機関等は、前項の規定により歳入歳出外現金を翌年度に繰り越したときは、歳入歳出外現金繰越調書(第73号様式)を作成し、これを出納機関に送付しなければならない。
第9章 現金及び有価証券
(歳計現金の保管)
第162条 会計管理者は、歳計現金を町名義により指定金融機関に預金して保管しなければならない。この場合において、預金の種類及び金額は、収入又は支出の状況、歳計現金の現在高の状況等を勘案して定めなければならない。
2 前項の規定にかかわらず、会計管理者が必要と認めるときは、あらかじめ町長と協議のうえ、指定金融機関以外の金融機関に預金して保管することができる。
3 第1項の規定にかかわらず、会計管理者は必要があると認めるときは、釣銭に充てるため現金を保管することができる。
(会計相互間の歳計現金の運用)
第163条 会計管理者は、一般会計又は特別会計において、歳計現金の不足を生じた場合にその年度を限って歳計現金を相互に運用したときは、その旨を総務課長に通知しなければならない。戻入をしたときも、また、同様とする。
2 会計管理者は、前項に規定する特別会計が地方公営企業法(昭和27年法律第292号)の適用を受けるものである場合は、運用前に町長及び当該企業に係る管理者と協議しなければならない。
(一時借入金)
第164条 会計管理者は、一時借入金の借入れの必要があると認めるときは、その旨及び借入必要額を総務課長に通知しなければならない。
2 総務課長は、前項の規定による通知を受けたときは、借入額、借入先、借入期間及び利率について会計管理者と協議のうえ、町長の決定を受けなければならない。これを返済する場合も、また、同様とする。
3 総務課長は、前項の規定による借入れ又は返済について町長の決定を受けたときは、直ちに借入手続又は返済手続をとるとともに、その旨を会計管理者に通知しなければならない。
4 総務課長は、一時借入金整理簿(第74号様式)により一時借入金の状況について整理しておかなければならない。
(歳入歳出外現金等の年度及び整理区分)
第165条 歳入歳出外現金及び保管有価証券(町が保管する有価証券で町の所有に属しないものをいう。以下同じ。)(以下「歳入歳出外現金等」という。)は、現にその出納を行った日の属する年度により整理し、出納保管しなければならない。
2 歳入歳出現金等は、次の各号に掲げる区分により整理し、出納保管しなければならない。この場合において、特に必要があるときは、各区分に細目を設けて整理し、出納保管することができる。
(1) 歳入歳出外現金
ア 保証金
(ア) 入札保証金
(イ) 契約保証金
(ウ) その他法令の規定により保証金として提供された現金
イ 保管金
(ア) 小切手等支払未済繰越金
(イ) 住民税整理資金
(ウ) 代位受領金
(エ) 受託徴収金
(オ) 差押物件公売代金
(カ) 給与等から控除した法定控除金
(キ) 災害見舞金
(ク) その他法令の規定により一時保管する現金
ウ 担保金
(ア) 指定金融機関の提供した担保金
(イ) 町営住宅の敷金
(ウ) その他法令の規定により担保として提供された現金
(2) 保管有価証券
ア 保証証券(法令の規定により保証金として提供された有価証券をいう。)
イ 保管証券(法令の規定により町が一時保管する有価証券をいう。)
ウ 担保証券(法令の規定により担保として提供された有価証券をいう。)
(担保にあてることができる有価証券の種類及び担保価額等)
第166条 保証金その他の担保にあてることができる有価証券の種類及びその担保価額は、次の各号に掲げるとおりとする。
(1) 富岡町債証券 額面金額
(2) 国債証券 額面金額の10分の8
(3) 地方債証券(富岡町債証券を除く。) 額面金額の10分の8
(4) 特別の法律により法人の発行する債券 時価の10分の8
(5) 町長が確実であると認める社債券 時価の10分の8
2 記名証券を保証金その他の担保にあてる場合においては、売却承諾書及び白紙委任状を添えさせなければならない。
3 登録社債等を保証金その他の担保にあてる場合においては、社債等登録法(昭和17年法律第11号)により登録をさせ、登録済証を徴さなければならない。
(歳入歳出外現金等の出納)
第167条 歳入歳出外現金等の出納は、次の区分によるものとする。
(1) 受入れ 納付書により払い込むものとする。
(2) 払出し 支出命令書(第41号様式)により処理し、支払指定日に支払切符を発行するものとする。
2 出納機関及び法令の規定により歳入歳出外現金等を出納保管すべきものと定められている者は、歳入歳出外現金等整理簿を備え、歳入歳出外現金等の受入れ及び払出しの都度、これを整理しなければならない。ただし、入札保証金その他のもので即日還付又は払出しを要すると認められるものについては、受入れ及び払出しの手続の一部を省略することができる。
第10章 財産
第1節 公有財産
(公有財産の管理区分)
第168条 財産管理者は、この規則に別段の定めがある場合を除くほか、次の各号に掲げる区分に従い、当該各号に定める者とする。ただし、町長が特に必要があると認めるときは、別に指示するところによる。
(1) 公の施設の用に供する公有財産 当該公の施設に係る事務又は事業を所掌する各課等の長
(2) 公用に供する公有財産(本庁舎の用に供するものを除く。)当該公用の目的である事務又は事業を所掌する各課等の長
(3) 前2号に掲げるもの以外の公有財産 総務課長
(公有財産の取得等)
第169条 契約権者は、公有財産を取得しようとするときは、あらかじめ当該公有財産に関し必要な調査をし、物権の設定その他特殊な義務があるときは、これの消滅又は必要な措置をとったのちでなければ取得してはならない。
2 財産管理者は、取得した公有財産についてその引継ぎを受けるときは、当該財産に関する書類及び関係図面の引継ぎを受けこれと照合確認したのち、その引継ぎを受けなければならない。
3 契約権者は、不動産その他登記又は登録を要する公有財産を取得したときは、遅滞なくその登記又は登録をしなければならない。
4 支出権者は、前項に掲げる公有財産については、法令に別段の定めがある場合を除くほか、その登記又は登録が完了したのちでなければ代金の支払いをしてはならない。ただし、町長が特に必要があると認めるときは、この限りでない。
5 第3項の規定は、同項に規定する公有財産について当該登記又は登録に係る事項の変更があったときに準用する。この場合において「契約権者」とあるのは「財産管理者」と読み替えるものとする。
(土地の境界の確認等)
第170条 契約権者又は財産管理者は、土地を取得し、又は土地の境界について変更があったときは、遅滞なく境界標柱(第75号様式)、金属びょう、金属板等の境界標識を設置しなければならない。
2 契約権者又は財産管理者は、前項の規定により境界標識を設置するときは、隣接地所有者の立会いを求めて境界を確認の上、境界標識を設置し、境界確認に関する覚書(第76号様式)を作成しなければならない。
3 境界標識は、当該土地の実測に基づき境界線上25メートルごと及び屈曲点ごとに設置しなければならない。
(公有財産の取得等の報告)
第171条 財産管理者は、公有財産の引継ぎを受けたときは、直ちに公有財産異動報告書(第77号様式)により町長及び会計管理者に報告しなければならない。その管理する公有財産に異動が生じたときも、また同様とする。
(公有財産の管理)
第172条 財産管理者は、その管理する公有財産について、常にその現況を把握し、次の各号に掲げる事項に留意して管理しなければならない。
(1) 公有財産の維持、保全及び使用の適否
(2) 使用料又は貸付料の適否
(3) 土地の境界
(4) 公有財産の増減とその証拠書類の符合
(5) 公有財産と登記簿又は登録簿、財産台帳及び関係図面との符合
(財産台帳)
第173条 財産管理者は、次の各号に掲げる種目の区分により財産台帳(第78号様式)を作成し、当該管理に係る公有財産についてその実態を明らかにしておかなければならない。ただし、法令に別段の定めがある場合は、この限りでない。
(1) 土地
(2) 建物
(3) 工作物
(4) 立木竹
(5) 動産
(6) 
法第238条第1項第4号に掲げる権利
(7) 
法第238条第1項第5号に掲げる権利
(8) 
法第238条第1項第6号に掲げる権利
(9) 出資による権利
(10) 財産の信託の受益権
2 前項に規定する財産台帳には、必要に応じ、次の各号に掲げる図面を添付しておかなければならない。
(1) 実測図(縮尺500分の1)
(2) 配置図(縮尺500分の1)
(3) 平面図(縮尺250分の1)
(4) 前各号に掲げるもののほか、必要があると認めるもの
3 財産管理者は、その管理する公有財産について異動が生じたときは、その都度財産台帳を整理しなければならない。
(財産台帳に登録すべき価額)
第174条 
財産台帳に登録すべき価額は、次の各号に掲げる取得の原因の区分に応じ、それぞれ当該各号に定める額によらなければならない。
(1) 買入れ 買入価額
(2) 交換 交換当時における評価額
(3) 収用 補償金額
(4) 代物弁済 当該財産により弁済を受けた債権の額
(5) 寄附 評価額
(6) 前各号に掲げるもの以外の原因に基づく取得 次に掲げる公有財産の区分に応じ、それぞれ当該定める額
ア 土地 附近の類似地の時価を考慮して算定した額
イ 建物、船舶、浮標、浮桟橋、浮ドック及び航空機並びにこれらの従物及び土地の従物 建築又は製造に要した額(建築又は製造に要した額の算定が困難なものにあっては評価額)
ウ 立木 時価見積額
エ 前条第1項第6号及び第7号に掲げる権利 取得価額(取得価額によることが困難なものにあっては評価額)
オ 前条第1項第8号に掲げる権利 額面金額
カ 出資による権利 出資金額
キ 財産の信託の受益権 土地にあっては区分アにより算定した額、建物にあっては償却後の残存価額、国債その他の政令で定める有価証券にあっては額面金額
ク 以上のいずれにも属しないもの 評価額
(財産の評価替)
第175条 財産管理者は、その管理する公有財産について、5年ごとに、その年の3月31日において、別に定めるところにより、これを評価しなければならない。
2 財産管理者は、前項の規定により公有財産の評価替をしたときは、財産台帳にその結果を記載するとともに、速やかに町長にその結果を報告しなければならない。
(現況報告)
第176条 財産管理者は、その管理する公有財産の毎年3月31日現在の状況について、公有財産現況報告書(第79号様式)を作成し、翌年度の5月10日までに、会計管理者に提出しなければならない。
(行政財産の用途の変更)
第177条 財産管理者(教育財産に係る管理者を除く。)は、その管理に係る行政財産の用途を変更しようとするときは、次の各号に掲げる事項を記載した文書により町長の決定を受けなければならない。
(1) 当該行政財産の表示
(2) 現在までの使用目的
(3) 変更後の使用目的
(4) 用途を変更する理由
2 前項の規定は、法第238条の2第2項の規定により、教育委員会が教育財産の用途の変更について、町長に協議をしようとする場合に準用する。
(所管換え)
第178条 財産管理者は、その管理に係る公有財産について必要があるときは、他の財産管理者の下に移すこと(以下「所管換え」という。)ができるものとする。
2 財産管理者は、前項の規定により所管換えをしようとするときは、これを受けるべき財産管理者と協議し、公有財産所管換承認申請書(第80号様式)によりこれを受けるべき財産管理者と連名で町長の承認を受けなければならない。
3 財産管理者は、前項の規定により所管換えをするときは、公有財産引継書(第81号様式)に当該公有財産に係る関係書類及び関係図面を添えて、当該公有財産の引継ぎを受けるべき財産管理者に、当該公有財産を引継がなければならない。
4 異なる会計間において所管換えをするときは、当該会計間において、有償としなければならない。ただし、町長が特に認めた場合は、この限りでない。
(行政財産を貸し付け又は私権を設定することができる場合)
第179条 行政財産は、法第238条の4第2項、第3項又は第4項の規定に該当する場合には、その用途又は目的を妨げない限度において、町以外の者に貸し付け、又は私権を設定することができるものとする。
(行政財産の目的外使用許可)
第179条の2 行政財産は、次の各号のいずれかに該当する場合に限り、法第238条の4第7項の規定により町以外の者にその使用を許可することができるものとする。
(1) 当該行政財産を利用する者のために食堂、売店その他の厚生施設を設置するとき。
(2) 学術調査、研究、体育活動、行政施策の普及宣伝その他の公益目的のために講演会、研究会、運動会等の用に短期間供するとき。
(3) 電気事業、ガス事業、運送事業その他の公益事業の用に供するため、当該財産管理者がやむを得ないと認めるとき。
(4) 国、他の地方公共団体その他公共団体又は公共的団体において、公用若しくは公共用又は公益を目的とする事業の用に供するとき。
(5) 災害その他の緊急やむを得ない事態の発生により応急施設として短期間その用に供するとき。
(6) 前各号に掲げるもののほか、町長が特にその必要があると認めるとき。
2 使用許可の期間は、一年を越えてはならない。ただし、次の各号のいずれかに該当する場合には、10年以内とすることができる。
(1) 電柱(支柱、支線柱、支線等を含む。)、鉄塔等を設置するとき。
(2) 水道管、ガス管、地下ケーブル等の管類を敷設するとき。
(3) その他特別の事情がある場合において、あらかじめ、町長の承認を受けたとき。
3 財産管理者(教育財産の管理者を除く。以下次項で同じ。)は、第1項の規定により行政財産の使用の許可をするときは、当該許可を受けようとする者から行政財産使用許可申請書(第82号様式)を提出させなければならない。
4 財産管理者は、第1項の規定により行政財産の使用を許可しようとするときは、次の各号に掲げる事項を記載した文書に前項の規定により提出させた行政財産使用許可申請書を添えて、町長の決定を受け、申請者に行政財産使用許可書(第83号様式)を交付しなければならない。
(1) 使用の許可をしようとする行政財産の表示
(2) 許可の相手方
(3) 使用の理由及び当該使用が行政財産の用途又は目的を妨げないと認める理由
(4) 使用期間及び許可条件
(5) 使用料の額
(教育財産の使用の許可の協議)
第180条 教育委員会は、教育財産の使用許可について次の各号のいずれかに該当する場合は、法第238条の2第2項の規定により町長に協議しなければならない。
(1) 前条第1項第1号から第5号までに掲げる事由以外の事由により使用させようとするとき。
(2) 使用期間が引き続き10日以上にわたるとき。
(普通財産の貸付け及び信託)
第181条 財産管理者は、普通財産を貸し付けようとするときは、当該普通財産を借り受けようとする者から、普通財産借受等申込書(第84号様式)を提出させなければならない。
2 財産管理者は、前項の規定により普通財産借受等申込書の提出があったときは、これに意見を付し、契約書案及び普通財産貸付調書(第85号様式)を添えて、当該普通財産の貸付けについて町長の決定を受けなければならない。
3 財産管理者は、前項の規定により町長の決定を受けたときは、遅滞なく契約書を作成しなければならない。ただし、極めて短期間の貸付けに係るものにあっては、この限りでない。
4 前3項の規定は、当該普通財産の貸付契約の更新をする場合に準用する。
5 法第238条の5第2項の規定に基づき普通財産である土地を信託するとき、及び同条第3項の規定に基づき国債等を信託するときは、別に町長が定める方法により行うものとする。
(担保の提供等)
第182条 普通財産の貸付けに当たり、契約権者が特に必要と認めるときは、当該普通財産を借り受けようとする者に相当の担保を提供させ、又は確実な保証人を立てさせるものとする。
(貸付財産の使用目的及び原形の変更)
第183条 契約権者は、第181条の規定により普通財産を貸し付ける場合においては、当該借受人をして当該借り受けた普通財産の用途の変更又は原形の変更をしようとするときは文書により契約権者の承認を受けなければならない旨及び当該承認を受けるべき事項が原形の変更に係るものであるときは当該普通財産の返還の際には契約権者の指示するところに従い借受人の費用で原形に復し、又は当該変更に係る物件を町に寄附する旨の約定をさせなければならない。
[第181条]
2 契約権者は、前項の規定による約定に基づき承認の申込みがあったときは、当該用途又は原形の変更が当該普通財産の効用を減少させることとならないかどうかについて調査し、承諾するものとする。
(普通財産の貸付以外の使用)
第184条 
第181条から前条までの規定は、普通財産を貸付以外の方法により使用させる場合に準用する。
[第181条]
(返還)
第185条 財産管理者又は契約権者は、行政財産の使用の許可を受けた者又は普通財産の貸付けを受けた者(貸付け以外の方法による使用の承認を受けた者を含む。)(以下「借受人等」という。)が当該使用又は借受けに係る公有財産の使用を終了し、又はこれを返還しようとするときは、当該使用の終了又は返還の日までに、その旨を記載した文書を提出させなければならない。
2 財産管理者又は契約権者は、借受人等から使用又は貸付けに係る公有財産の引渡しを受けるときは、借受人等の立会いを求め当該公有財産について、実地に検査をしなければならない。
(行政財産の用途の廃止)
第186条 財産管理者(教育財産の管理者を除く。)は、行政財産の用途を廃止しようとするときは、次の各号に掲げる事項を記載した文書により町長の決定を受けなければならない。
(1) 当該行政財産の表示
(2) 用途を廃止しようとする理由
(3) 用途を廃止しようとしたのちの処置
(4) その他参考となる事項
2 財産管理者(教育財産の管理者及び総務課長である財産管理者を除く。)は、前項の規定により行政財産の用途の廃止について決定を受けたときは、公有財産引継書に当該行政財産に係る関係書類及び関係図面を添えて、直ちに総務課長に引き継がなければならない。
3 前項の規定は、法第238条の2第3項の規定により、教育委員会が用途を廃止した教育財産を町長に引き継ぐ場合に準用する。
(普通財産の売却又は譲与)
第187条 財産管理者は、普通財産を売却し、又は譲与(寄付を含む。以下同じ。)しようとするときは、次の各号に掲げる事項を記載した文書に契約書案及び関係図面を添えて町長の決定を受けなければならない。
(1) 処分をしようとする普通財産の表示
(2) 処分をしようとする理由
(3) 処分をしようとする普通財産の評価額及びその算出基礎
(4) 売払代金の延納の特約をするときは、その旨及びその内容
(5) 処分の方法
2 契約権者は、前項の規定による決定に基づき売却又は譲与に係る普通財産をその相手方に引き渡したときは、受領書を徴しなければならない。
(普通財産の交換)
第188条 財産管理者は、普通財産を交換しようとするときは、次の各号に掲げる事項を記載した文書により町長の決定を受けなければならない。
(1) 交換をしようとする相手方の住所及び氏名
(2) 交換により提供する財産の表示及びその評価額
(3) 交換により取得する財産の表示及びその評価額
(4) 交換差金があるときは、その額及び納付の方法並びに延納の特約をするときはその旨及びその内容
(5) 交換をしようとする理由
(6) その他必要と認める事項
2 前項の規定による文書には、次の各号に掲げる書類及び図面を添付しなければならない。
(1) 契約書案
(2) 交換により取得する財産の登記簿又は登録簿の謄本等の権利を証する書類
(3) 交換により提供する財産の関係図面
(4) 交換により取得する財産の関係図面
(5) その他必要と認める書類
3 前条第2項の規定は、交換に係る財産の引き渡しをする場合に準用する。
(延納利息)
第189条 
施行令第169条の4第2項の規定による利息は、次の各号に掲げる利率により計算した額とする。
(1) 普通財産の譲渡又は交換を受けた者が国、他の地方公共団体又は公益法人等であり、かつ、当該財産を営利又は収益を目的としない用途に供する場合 年6.5パーセント
(2) 前号に該当しない場合 年7.5パーセント
2 前項各号の規定による利率は、延納期限が6月以内であるときは、それぞれ利率の2分の1の率まで引き下げることができる。
(延納の場合の担保)
第190条 
施行令第169条の4第2項の規定による担保は、次の各号のいずれかに掲げる物件又は保証人の保証とする。
(1) 
第166条第1項各号に掲げる有価証券
(2) 土地並びに保険に附した建物、立木、船舶、航空機、自動車及び建設機械
(3) 工場財団、鉱業財団、漁業財団、鉄道財団、軌道財団、運河財団、港湾運送事業財団及び道路交通事業財団
(4) 町長が、確実と認める金融機関その他の保証人の保証
2 前項の場合において、担保のうち担保権の設定について登記又は登録によって第三者に対抗する要件を備えることができるものについては当該登記若しくは登録をさせ、又はこれをし、保証人の保証については保証契約を締結する等必要な措置をとらなければならない。
3 契約権者は、第1項の規定により担保として提供された担保物件の価額又は保証人の資力が減少又は滅失したと認めるときは、増担保の提供又は保証人の変更を求めなければならない。
4 総務課長は、延納に係る売払代金又は交換差金が完納されたときは、遅滞なく担保を解除しなければならない。
(延納の取消し)
第191条 財産管理者は、施行令第169条の4第2項の規定により普通財産の売払代金又は交換差金について延納の特約をした場合において、次の各号のいずれかに該当するときは、町長の指示を受けて直ちにその特約を解除しなければならない。
(1) 当該普通財産の譲渡を受けた者の管理が適当でないと認められるとき。
(2) 各年における延納に係る売払代金又は交換差金の納付金額と利息との合計額が当該財産の見積賃貸料の額に達しないとき。
2 契約権者は、前項の規定により延納の特約を取り消したときは、遅滞なく売払代金又は交換差金を一時に徴収する手続きをとらなければならない。
(財産管理者との協議)
第192条 契約権者は、普通財産を貸付け、売却、譲与、交換又は信託しようとするときは、あらかじめ財産管理者とその内容について協議しなければならない。
第2節 物品
(物品の会計年度)
第193条 物品は、会計別に現にその出納を行った日の属する年度により整理しなければならない。
(分類)
第194条 物品は、その適正な供用(物品をその用途に応じて町において使用(用途に従った処分を含む。)させることをいう。以下同じ。)を図るため、その用途に従い、別表第2に定めるところにより、備品、消耗品、原材料、生産物(製作品を含む。)、動物、解体材料、借入品及び占有動産に分類するものとする。
[別表第2]
(分類換え)
第195条 物品管理者は、その管理する物品について必要があるときは、物品分類換票(第86号様式)により分類換え(物品をその属する分類から他の分類に移し換えることをいう。以下同じ。)をすることができる。
2 物品管理者は、その管理する物品について分類換えをしたときは、物品分類換通知票(第86号様式)により、出納機関に通知しなければならない。
3 出納機関は、前項の規定による通知を受けたときは、当該物品に係る物品出納簿を整理しなければならない。
(管理の義務)
第196条 物品管理者及び供用された物品を使用する職員は、法令の規定に従うほか善良な管理者の注意をもってその事務を行い、及び物品を使用しなければならない。
2 物品は、町の施設において常に良好な状態で供用することができるように保管しておかなければならない。ただし、物品管理者は、町の施設において保管することが物品の供用の上から適当でないと認めるとき、その他特別の事由があるときは、町以外の者の施設に保管するため適当な措置をとらなければならない。
(標識)
第197条 備品には、標識(第87号様式)を付さなければならない。ただし、性質、形状等により標識を付すことに適しないものについては、適当な方法によりこれを表示することができる。
(出納)
第198条 契約権者又は物品管理者は、物品の出納をさせようとするときは、出納機関に対し、物品払出(受入)票(第88号様式)により通知しなければならない。
2 出納機関は、前項の規定に基づき物品の出納をしようとする場合には、当該通知が適法であるか、及びその出納が当該通知の内容に適合しているかを確認しなければならない。
3 出納機関は、前項の場合において、当該通知が適法でないと認めるとき、又は当該物品の出納が当該通知の内容に適合していないと認めるときは、直ちにその理由を付して当該物品管理者に返付しなければならない。
(物品の購入等)
第199条 物品管理者は、物品を購入又は修繕若しくは改造(以下「購入等」という。)の必要があるときは、契約権者に対し当該物品の購入等の措置を求めなければならない。
2 契約権者は、前項の規定により物品の購入等の措置を求められたときは、予算の定めるところにより契約を締結しなければならない。
(購入等物品の検査等)
第200条 検査員は、第131条の規定による検査の結果これを収納すべきものと認めるときは、当該物品に係る納入者から徴した納品書に検収印(第89号様式)を押印し、検査員が契約権者である場合を除き、当該物品に納品書を添付して契約権者に送付しなければならない。
[第131条]
2 契約権者は、前項の規定により検査を了したとき又は物品及び納品書の送付を受けたときは、当該物品及び当該物品に係る物品受入票は出納機関に、納品書は支出権者にそれぞれ送付するとともに、その旨を物品管理者に通知しなければならない。
3 前項の場合において、当該収納した物品が消耗品であり、かつ、収納後直ちに全量を払い出しするものであるときは、当該物品に係る支出命令書に物品出納年月日を記載し、これを出納機関に回付することにより物品払出(受入)票に代えることができる。
(物品の受入れ)
第201条 契約権者は、前条第2項の規定にかかわらず物品が次の各号に掲げるものであるときは、一定期間における受入量を一括して、かつ、口頭で受入通知を発することができる。この場合においては、その納入の状況を明らかにしておかなければならない。
(1) 官報、新聞、雑誌、法規追録等の定期刊行物で継続して購入するもの
(2) 購入後直ちに全量を消費する物品
(3) 工事の性質上分割して日々納入させる工事用材料
(4) 現像フィルム、写真、青写真その他これらに類するもの
(5) 前各号に掲げる物品に準ずる物品で町長が指定するもの
2 出納機関は、前条第2項の規定により物品受入票の送付を受けた場合は、当該物品の種別に従い物品出納簿を整理しなければならない。
3 前2項の規定は、購入等又は所管換え以外の事由により物品を受け入れる場合の手続き及び当該受入れに伴う措置について準用する。
(供用)
第202条 物品管理者は、物品の使用をしようとする職員から物品の供用の要求があった場合又は自らその必要があると認める場合において、物品を職員の供用に付そうとするときは、出納機関に対し物品の払出しのための通知(以下「払出通知」という。)を発するとともに、物品の供用を受けるべき職員に対し、供用の目的を明らかにして、当該物品を受領すべき旨の命令を発しなければならない。
2 出納機関は、前項の規定による払出通知に基づき備品又は動物(以下「備品等」という。)を払い出したときは、1人の職員が専ら使用することとされた備品等についてはその職員、2人以上の職員がともに使用することとされた備品等についてはこれらの職員のうち上席者から、当該物品についての受領印を徴さなければならない。
(返納)
第203条 物品を使用する職員は、当該使用に係る物品を使用する必要がなくなったとき、又は使用することができなくなったときは、その旨を物品管理者に申し出なければならない。
2 物品管理者は、現に供用されている物品について、前項に規定する申し出を受けたとき、又は必要があると認めるときは、当該物品を使用する職員に対し当該物品の供用の廃止又は中止による返納命令を発するとともに、出納機関に対し当該返納による受入通知を発しなければならない。
3 出納機関は、前項の規定による受入通知に基づき当該物品の返納を受けたときは、物品出納簿を整理して当該物品管理者及び職員の確認を受けなければならない。
(供用不適品の報告)
第204条 出納機関は、その保管する物品(使用することができないものとして前条第3項の規定により返納された物品を除く。)のうちに供用することができないもの、又は修繕若しくは改造を要するものがあると認めるときは、その旨を物品管理者に通知しなければならない。
2 物品を使用する職員は、その使用中の物品に修繕又は改造を要するものがあるときは、物品管理者に対し修繕又は改造の措置を求めなければならない。
(所管換え)
第205条 物品管理者は、その管理する物品について必要があるときは、所管換え(物品管理者の間において物品の所管を移すことをいう。以下同じ。)をすることができる。
2 物品管理者は、前項の規定により所管換えをしようとするときは、当該所管換えに係る物品を受け入れる物品管理者と協議して物品所管換票(第90号様式)により町長の決定を受けなければならない。
3 物品の所管換えをしようとする物品管理者は、前項の規定による決定を受けたときは、その管理する物品について第203条第2項及び第3項の規定により供用を廃止し、返納を受けたのち、出納機関に対し払出通知を発しなければならない。
4 出納機関は、物品の効率的な供用又は処分のため必要があると認めたときは、総務課長と協議の上、第2項の規定にかかわらず、物品管理権者に対し物品管理換指示書によりその管理する物品の管理換えを指示することができる。
5 物品の所管換えを受けようとする物品管理者は、第2項の規定による決定を受けたときは、出納機関に対し受入通知を発しなければならない。
6 出納機関は、第3項の規定により払出通知を受けたときは、当該物品を払出し、かつ、物品所管換票に受領印を徴しなければならない。
7 出納機関は、第5項の規定により受入通知を受けたときは、当該物品を受け入れ物品出納簿を整理しなければならない。
(不用の決定等)
第206条 物品管理者は、供用若しくは処分の必要がないと認める物品又は供用をすることができないと認める物品があるときは、これらの物品について不用の決定をすることができる。
2 物品管理者は、前項の規定により不用の決定をした物品のうち売り払うことが適当であると認めるものについては売り払う旨の決定をし、売り払うことが適当でないと認めるもの及び売り払うことができないものについては譲与又は廃棄する旨の決定をしなければならない。
3 物品管理者は、前2項の規定により不用及び売払い、譲与又は廃棄の決定をしたときは、第195条及び第202条の規定の例により処理しなければならない。
(売払い)
第207条 物品管理者は、前条第2項の規定により売り払う旨の決定をしたときは、契約権者に対し、物品の売払いのために必要な措置をとるべきことを請求しなければならない。
2 契約権者は、前項の規定により物品の売払いの措置の請求があったときは、そのための必要な措置をとらなければならない。
(関係職員の譲受けを制限しない物品で町長が指定するもの)
第208条 
施行令第170条の2第2号に規定する町長が指定する物品は、取得価額が2万円未満の物品とする。
(交換)
第209条 物品管理者は、物品を交換しようとするときは、第188条第1項及び第3項、第202条第1項並びに第203条第2項の規定の例により処理しなければならない。
(貸付け)
第210条 物品管理者は、その管理する物品を貸付けをしようとするときは、物品の貸付けを受けようとする者から物品借受申込書(第91号様式)を提出させ、物品貸付書(第92号様式)により町長の承認を受けなければならない。
2 
第198条の規定は、前項の場合について準用する。
[第198条]
3 物品の貸付期間は、同一会計年度を超えてはならない。ただし、特別な事由があるときは、この限りでない。
4 物品を貸付けるときは、貸付けを受ける者から物品借用書(第93号様式)を徴したのち、引渡すものとする。
5 物品の貸付料の額は、別に定めるところによる。
6 
第185条第2項、第200条第1項、第2項及び第201条第2項の規定は、貸付に係る物品が返納された場合について準用する。
7 前6項の規定にかかわらず、貸付けを目的とする物品については、別に定めるところによる。
(物品台帳)
第211条 物品管理者は、新たに払い出しを受けた物品が備品又は大動物であるときは、物品台帳(第94号様式)を作成し、これを保管しなければならない。この場合において、当該物品が別に定める重要物品であるときは、これを2部作成し、その1部を出納機関に送付しなければならない。
(物品出納簿への記載の省略)
第212条 次の各号に掲げる物品については、物品出納簿への記載を省略することができる。
(1) 
第200条第3項に規定する物品
[第200条第3項]
(2) 
第201条第1項各号に掲げる物品
(物品現在高報告書の提出)
第213条 物品管理者は、その管理に属する重要な物品の毎年3月31日現在の状況について、物品現在高報告書(第95号様式)を翌年度の4月10日までに、会計管理者に提出しなければならない。
(占有動産)
第214条 出納機関は、施行令第170条の5第1項各号に掲げる物品については、本節の規定の例により管理しなければならない。
第3節 債権
(債権の管理者)
第215条 収入権者は、その所掌に属する歳入に係る債権を管理する。
(債権の管理)
第216条 収入権者は、債権が発生した場合において、当該債権の履行期限が翌会計年度以降であるときは、当該債権の種類に従い、履行期限の属する年度及び月別に区分して、債権台帳(第96号様式)に記載しなければならない。
2 収入権者は、その所掌に属する債権の毎年3月31日現在の状況について、債権現在高報告書(第97号様式)を作成し翌年度の4月10日までに、会計管理者に提出しなければならない。
3 会計管理者は、前項の規定により提出された債権現在高報告書に基づき債権管理簿(第98号様式)を整理しなければならない。
(督促)
第217条 
第43条の規定は、督促手数料に係る部分を除き、施行令第171条の規定により督促をする場合について準用する。
[第43条]
(保全及び取立て)
第218条 収入権者は、その所掌に属する債権について、施行令第171条の2から第171条の4までの規定に基づきその保全及び取立ての措置をとる必要があると認めるときは、町長の決定を受け、自ら行い、又はその指定する職員に行わせることができる。ただし、施行令第171条の4第1項の規定により債権の申出をするときは、町長の決定をまたずに行うことができる。
2 収入権者は、施行令第171条の2第1号の規定により当該債権の保証人に対して履行の請求をする場合においては、次の各号に掲げる事項を記載した文書に当該保証人あての納入通知書を添えて、これをしなければならない。この場合において、徴収簿には保証人に納入通知書を発した旨及びその日付を記載しておかなければならない。
(1) 保証人及び債務者の住所及び氏名又は名称
(2) 債権金額
(3) 履行請求の事由
(4) その他納付に関し必要な事項
3 収入権者は、施行令第171条の3の規定により履行期限を繰り上げる場合は、その旨を記載した納入通知書によりこれをしなければならない。
4 前項の場合において、すでに納入通知書を発しているときは、同項の納入通知書には、先に発した納入通知書は履行期限の繰上げにより無効とする旨を併せて記載しなければならない。
5 収入権者が施行令第171条の4第2項の規定により担保の提供を求める場合においては、法令又は契約に別段の定めがある場合を除くほか、第190条第1項から第3項までの規定を準用するものとする。
(徴収停止)
第219条 収入権者は、施行令第171条の5の規定により徴収停止の措置をとる場合は、次の各号に掲げる事項を記載した文書により町長の決定を受けなければならない。
(1) 債務者の住所及び氏名
(2) 徴収停止をしようとする債権の表示
(3) 
施行令第171条の5各号のいずれかに該当する理由
(4) 徴収停止の措置をとることが債権管理上必要であると認める理由
2 収入権者は、徴収停止の措置をとった場合において、事情の変更等によりその措置を維持することが不適当となったことを知ったときは、直ちにその措置を取り消さなければならない。
(履行延期の特約等の手続)
第220条 
施行令第171条の6の規定による履行延期の特約等は、債務者から次の各号に掲げる事項を記載した文書による申出に基づいて行うものとする。
(1) 債務者の住所及び氏名
(2) 債権金額
(3) 債権の発生原因
(4) 履行期限の延長を必要とする理由
(5) 延長に係る履行期限
(6) 履行期限の延長に伴う担保及び利息に関する事項
(7) 
第223条各号に掲げる趣旨の条件を付することを承諾すること。
[第223条各号]
2 収入権者は、前項に規定する申出があった場合において、当該文書の内容の審査により、施行令第171条の6第1項各号のいずれかに該当し、かつ、履行延期の特約等をすることが債権の管理上必要であると認めるときは、その該当する理由及び必要であると認める理由を記載した文書に当該申出に係る文書を添えて町長の決定を受けなければならない。
3 収入権者は、前項の場合において必要があると認めるときは、債務者又は保証人に対し、その承諾を得て、その業務又は資産の状況に関して質問し、帳簿書類その他の物件を調査し、又は参考となるべき資料の提出を求める等必要な調査を行わなければならない。
4 収入権者は、履行延期の特約等をするときは、その旨を債務者に通知しなければならない。
(履行期限を延期する期間)
第221条 収入権者は、履行期限の特約等をする場合には、履行期限(施行令第171条の6第2項の規定により履行期限後に履行延期の特約等をする場合においては、当該履行延期の特約等をする日)から5年以内において、その延長に係る履行期限を定めなければならない。ただし、更に履行延期の特約等をすることを妨げない。
(履行延期の特約等に係る措置)
第222条 収入権者は、履行期限の特約等をする場合においては次の各号のいずれかに該当する場合を除くほか、担保を提供させ、かつ、利息を付するものとする。
(1) 債務者から担保を提供させることが公の事務事業の遂行を阻害する等公益上著しい支障を及ぼすこととなるとき。
(2) 同一債務者に対する債権金額の合計額が30万円未満であるとき。
(3) 履行延期の特約等をする債権が債務者の故意又は重大な過失によらない不当利得による返納金に係るものであるとき。
(4) 担保として提供させるべき適当な物件がなく、かつ、保証人となるべき者がないとき。
2 
第189条及び第190条の規定は、前項の規定により担保を提供させ、及び利息を付する場合について準用する。
(履行延期の特約等に付する条件)
第223条 収入権者は、履行延期の特約等をする場合には、次の各号に掲げる趣旨の条件を付するものとする。
(1) 当該債権の保全上必要があるときは、債務者又は保証人に対し、その業務又は資産の状況に関して質問し、帳簿書類その他の物件を調査し、又は参考となるべき資料の提出を求めること。
(2) 次に掲げる場合には、当該債権の全部又は一部について当該延長に係る履行期限を繰り上げること。
ア 債務者が町の不利益となるようその財産を隠し、害し、若しくは処分したとき、又は虚偽の債務を負担する行為をしたとき。
イ 当該債権の金額を分割して履行期限を延長する場合において、債務者が分割された弁済金額についての履行を怠ったとき。
ウ 
施行令第171条の4第1項の規定により配当の要求その他債権の申出をする必要が生じたとき。
エ 債務者が前号の条件その他当該履行延期の特約等に付された条件に従わないとき。
オ その他債務者の資力の状況その他の事情の変化により当該延長に係る履行期限によることが不適当となったと認められるとき。
(免除)
第224条 
施行令第171条の7の規定による債権の免除は、債務者からの文書による申出に基づいて行うものとする。
2 収入権者は、債務者から前項に規定する債権の免除の申出があった場合において当該文書の内容の審査により、施行令第171条の7第1項の規定に該当し、かつ、当該債権を免除することがその管理上やむを得ないと認められるときは、その該当する理由及びやむを得ないと認める理由を記載した文書に当該申出に係る文書その他関係書類を添えて、町長の決定を受けなければならない。
3 収入権者は、前項の規定により債権の免除をしたときは、免除する金額、免除の日付及び施行令第171条の7第2項にあっては同項後段に規定する条件を明らかにした文書を当該債務者に送付しなければならない。
(消滅)
第225条 収入権者は、その管理する債権の全部又は一部が消滅した場合には、その経過を明らかにした書類を作成し、町長に報告しなければならない。
第4節 基金
(基金の管理者)
第226条 基金の管理に関する事務を所掌する者(以下「基金管理者」という。)は、当該基金の設置の目的に従い特に必要があると認めて町長が指定するものを除き、総務課長とする。
(基金の管理)
第227条 基金管理者は、その管理に係る基金について基金台帳(第99号様式)を備え、その状況を明らかにしておかなければならない。
2 基金管理者は、基金に属する現金を条例の定めるところにより有価証券に代えようとするときは、あらかじめ会計管理者に協議のうえ、町長の指示を受けなければならない。
3 基金管理者は、基金に属する現金を運用しようとするときは、町長の決定を受けなければならない。
(手続の準用)
第228条 基金に属する現金の収入、支出、出納及び保管、公有財産若しくは物品の管理及び処分、又は債権の管理については、第3章、第4章、第9章及び本章第1節から前節までの規定を準用する。
(基金状況の報告)
第229条 基金管理者は、その管理に係る基金の毎年3月31日現在の状況について、基金現況報告書(第100号様式)を翌年度の6月10日までに、会計管理者に提出しなければならない。
(基金運用状況調書)
第230条 基金管理者は、その管理に係る基金について毎会計年度基金運用状況調書(第101号様式)を作成し、これを翌会計年度の6月30日までに、町長に提出しなければならない。
第11章 雑則
第1節 事故報告
(亡失又は損傷の届出)
第231条 会計管理者若しくは会計管理者の事務を補助する職員、資金前渡職員、占有動産を保管している職員又は物品を使用している職員がその保管に係る現金、有価証券、物品若しくは占有動産又はその使用に係る物品を亡失し、又は損傷したときは、次の各号に掲げる事項を記載した文書に関係書類を添えて、直ちに会計管理者を経て町長に届け出なければならない。この場合において、資金前渡職員にあっては支出権者を、物品を使用している職員にあっては物品管理者を経たのち会計管理者を経由するものとする。
(1) 亡失し、又は損傷した職員の職氏名
(2) 亡失し、又は損傷した日時及び場所
(3) 亡失し、又は損傷した現金、有価証券若しくは占有動産又は物品の数量及び金額
(4) 亡失し、又は損傷した原因である事実の詳細
(5) 亡失又は損傷の事実を発見したのちにとった処置
(6) その他参考となる事項
2 前項の場合において、経由すべきものと定められた職員は、次の各号に掲げる事項について副申しなければならない。
(1) 亡失又は損傷に係る現金、有価証券若しくは占有動産又は物品の平素における保管の状況
(2) 亡失又は損傷の事実の発見の端緒
(3) 亡失し、又は損傷した職員の責任の有無及び弁償の範囲
(4) 町が受けた損害に対する補てんの状況及び補てんの見込み
(5) その他参考となる事項
(違反行為又は怠った行為の届出)
第232条 支出負担行為権者、支出権者、出納機関若しくは契約権者又は第3項各号に掲げる職員が法第243条の2の8第1項各号に掲げる行為について法令に違反して当該行為をしたこと又は当該行為を怠ったことにより町に損害を与えたときは、次の各号に掲げる事項を記載した文書に関係書類を添えて町長に届け出なければならない。この場合において、出納機関(会計管理者を除く。)又は第3項各号に掲げる職員が与えた損害に係る届出については、会計管理者、支出負担行為権者、支出権者又は契約権者を経由しなければならない。
(1) 損害を与えた職員の職氏名
(2) 損害を与えた結果となった行為又は怠った行為の内容
(3) 損害の内容
(4) その他参考となる事項
2 前項の場合において経由すべきものと定められた職員は、次の各号に掲げる事項について副申しなければならない。
(1) 損害を与えた職員の平素の執務状況
(2) 損害を与えた事実の発見の端緒
(3) 町の受けた損害に対する補てんの状況及び補てんの見込み
(4) その他参考となる事項
3 
法第243条の2の8第1項各号に掲げる行為をする権限に属する事務を直接補助する職員で規則で指定するものは、支出負担行為権者(町長を除く。以下本項において同じ。)支出権者及び契約権者並びに次の各号に掲げる行為の区分に従い当該各号に定める者とする。
(1) 支出負担行為 第3条第2項の規定により支出負担行為権者の権限を代決することができる者
[第3条第2項]
(2) 
法第232条の4第1項の命令 第3条第2項の規定により支出権者の権限を代決することができる者
 [第3条第2項]
(3) 
法第232条の4第2項の確認 第3条第2項の規定により会計管理者の権限を代決することができる者
 [第3条第2項]
(4) 支出又は支払い 第79条第1項に規定する補助職員
[第79条第1項]
(5) 
法第243条の2の8第1項の監督又は検査 第130条第1項又は第131条第1項の規定により契約権者から監督又は検査を命ぜられた職員
(公有財産に関する事故報告)
第233条 財産管理者は、天災その他の事由により、その管理に係る公有財産について滅失、損傷等の事故が生じたときは、遅滞なく次の各号に掲げる事項を記載し、被害状況略図を添えた文書により町長に報告しなければならない。
(1) 公有財産の所在地並びに分類、種別及び名称
(2) 事故発生の日時及び発見前後の経過
(3) 滅失、損傷等の原因
(4) 被害の程度及び損害見積額
(5) 応急復旧に要する経費
(6) その他参考となる事項
2 教育委員会は、教育財産について前項に掲げる事情が生じたときは、同項の規定の例により、町長に報告しなければならない。
第2節 帳簿等
(備付帳簿)
第234条 この規則の定めるところにより財務に関する事務を所掌する者は、別表第3に定めるところにより帳簿を備え、その所掌に係る財務に関する事務について、事件のあった都度、所定の事項を記載し、又は関係書票を編綴し整理しなければならない。
[別表第3]
2 前項の規定は、必要に応じて補助簿を設けて整理することを妨げるものではない。
3 第1項に規定する帳簿は、毎年度、会計別に調製しなければならない。ただし、台帳にあっては、この限りでない。
(金額の表示)
第235条 
納入通知書、現金等払込書、返納通知書、領収証書、収入票、支出票、公金振替書、その他金銭の収支に関して証拠となるべき書類(以下「証拠書類」という。)に金額を表示する場合においては、アラビア数字又は漢数字を用いなければならない。
2 前項の場合において、アラビア数字を用いるときにあっては金額の頭初に「¥」記号を、漢数字を用いるときにあっては金額の頭初に「金」の文字を併記することとし、漢数字を用いるときにあっては「一」、「二」、「三」及び「十」の数字は、「壱」、「弍」、「参」及び「拾」の字体を用いるものとする。
(文字の訂正)
第236条 証拠書類に記載した金額、数量その他の記載事項は、別段の定めがある場合を除くほか、訂正してはならない。
2 証拠書類の記載事項をその指示に従い、又はやむを得ない事由により訂正するときは、朱で2線を引き、押印し、又は押印させ、その右側又は上側に正書するとともに、訂正した文字は明らかに読むことができるようにしておかなければならない。
(外国文の証拠書類)
第237条 証拠書類で外国文をもって記載したものについては、その訳文を添えなければならない。
(割印)
第238条 数葉をもって1通とする請求書、見積書、契約書等には、債権者又は当事者の印による割印がなければならない。
(鉛筆等の使用禁止)
第239条 証拠書類には、鉛筆、その他その用具によりなされた表示が永続きしないもの又は容易に消除することができるものを使用してはならない。
(原本による原則)
第240条 証拠書類は、原本に限る。ただし、原本により難いときは、別段の定めがある場合を除くほか、収入権者又は支出権者が原本と相異ない旨を証明した謄本をもってこれに代えることができる。
2 電子決裁により処理を行う場合の証拠書類は、電子伝票(財務会計システムにおいて、電算処理上の磁気記録により作成した伝票をいう。)に添付した電磁的記録(電子的方式、磁気的方式その他人の知覚によっては認識することができない方式で作られる記録であって、財務会計システムによる情報処理の用に供されるものをいう。)とすることができる。
(財務会計システムによる処理)
第241条 この規則の規定により行うこととされている財務事務について、財務会計システムを利用することができる場合は、原則として財務会計システムにより行うものとする。
2 この規則の規定により作成することとされている帳簿等(帳簿その他文字、図形等人の知覚によって認識することができる情報が記載された紙その他の有体物をいう。)については、当該帳簿等に記載すべき事項を記録した電磁的記録をもって、代えることができる。
3 この規則により行うこととされている通知、送付又は提出(以下「通知等」という。)について、財務会計システムにより処理を行う場合にあっては、当該処理をもって通知等が行われたものとみなすことができる。
第3節 特例等
(期限の特例)
第242条 
第32条第1号、第2号及び第3号、第35条第5項、第40条第4項、第155条第1項並びに第159条第1項及び第3項に規定する期限が、民法(明治29年法律第89号)第142条に規定する休日、土曜日又は12月31日に当たるときは、各条項の規定にかかわらず、これらの日の翌日をその期限とみなす。
(その他)
第243条 この規則に定めるものを除くほか、財務に関して必要な事項は、当分の間、その都度町長が定めるところによる。
附 則
1 この規則は、次の各号に掲げる区分に応じ、当該各号に定める日から施行する。
(1) 予算の編成に関する規定 昭和58年1月1日
(2) その他の規定 昭和58年4月1日
2 富岡町財務規則(昭和48年富岡町規則第16号)は、廃止する。
3 第1項の規定にかかわらず、昭和57年度の出納整理期間中における収入及び支出並びに昭和57年度の決算については、なお、従前の例による。
4 この規則の施行前、廃止前の富岡町財務規則の規定に基づいてなされた許可、承認、指示、決定その他の処分又は申請、届出その他の手続は、法、施行令又は施行規則に別段の定めがある場合を除くほか、この規則の相当規定に基づいてなされた処分又は手続とみなす。
附 則(昭和57年12月23日規則第17号)
| 
 | 
この規則は、昭和58年4月1日から施行する。
附 則(昭和58年8月3日規則第8号)
| 
 | 
この規則は、公布の日から施行する。
附 則(昭和60年5月29日規則第15号)
| 
 | 
この規則は、公布の日から施行する。
附 則(昭和60年7月18日規則第18号)
| 
 | 
この規則は、公布の日から施行する。
附 則(昭和61年7月24日規則第15号)
| 
 | 
この規則は、昭和61年8月1日から施行する。
附 則(昭和61年11月1日規則第18号)
| 
 | 
この規則は、公布の日から施行する。
附 則(昭和62年3月31日規則第5号)
| 
 | 
この規則は、昭和62年4月1日から施行する。
附 則(昭和62年6月20日規則第10号)
| 
 | 
この規則は、公布の日から施行する。
附 則(昭和62年9月29日規則第18号)抄
| 
 | 
(施行期日)
1 この規則は、昭和62年10月1日から施行する。
附 則(平成元年1月20日規則第3号)
| 
 | 
この規則は、平成元年2月1日から施行する。
附 則(平成元年3月31日規則第17号)
| 
 | 
1 この規則は、平成元年4月1日から施行する。
2 前項の規定にかかわらず、昭和63年度の出納整理期間中における収入及び支出並びに昭和63年度の決算については、なお従前の例による。
附 則(平成2年7月20日規則第12号)
| 
 | 
この規則は、平成2年8月1日から施行する。
附 則(平成2年12月25日規則第21号)
| 
 | 
この規則は、平成3年1月1日から施行する。
附 則(平成4年6月15日規則第15号)
| 
 | 
この規則は、公布の日から施行する。
附 則(平成4年11月10日規則第31号)
| 
 | 
この規則は、平成4年11月30日から施行する。
附 則(平成5年12月24日規則第15号)
| 
 | 
この規則は、公布の日から施行する。
附 則(平成6年3月28日規則第6号)
| 
 | 
この規則は、平成6年4月1日から施行する。
附 則(平成8年4月1日規則第5号)
  | 
この規則は、公布の日から施行する。ただし、第101条第1項の改正規定は、平成9年1月1日から施行する。
附 則(平成8年9月27日規則第16号)
| 
 | 
この規則は、公布の日から施行する。
附 則(平成11年4月1日規則第7号)
| 
 | 
1 この規則は、公布の日から施行する。
2 第1項の規定にかかわらず、平成10年度の出納整理期間中における収入及び支出並びに平成10年度の決算については、なお従前の例による。
附 則(平成13年11月1日規則第18号)
| 
 | 
この規則は、公布の日から施行する。
附 則(平成15年3月31日規則第11号)
| 
 | 
この規則は、平成15年4月1日から施行する。
附 則(平成15年8月1日規則第20号)
| 
 | 
この規則は、公布の日から施行する。
附 則(平成16年3月31日規則第1号)
| 
 | 
この規則は、平成16年4月1日から施行する。
附 則(平成18年3月31日規則第14号)
| 
 | 
(施行期日)
この規則は、平成18年4月1日より、施行する。
附 則(平成18年10月1日規則第21号)
| 
 | 
この規則は、公布の日から施行する。
附 則(平成18年11月27日規則第23号)
| 
 | 
この規則は、平成18年12月1日から施行する。
附 則(平成19年4月1日規則第8号)
| 
 | 
この規則は、公布の日から施行する。
附 則(平成20年4月1日規則第9号)
| 
 | 
この規則は、公布の日から施行する。
附 則(平成21年4月1日規則第4号)
| 
 | 
この規則は、公布の日から施行する。
附 則(平成22年3月29日規則第9号)
| 
 | 
この規則は、平成22年4月1日から施行する。
附 則(平成28年4月1日規則第15号)
| 
 | 
(施行期日)
1 この規則は、公布の日から施行する。
(経過措置)
2 行政庁の処分その他の行為又は不作為についての不服申立てに関する手続きであってこの規則の施行前にされた行政庁の処分その他の行為又はこの規則の施行前にされた申請に係る行政庁の不作為に係るものについては、なお従前の例による。
3 この規則の施行の際、規則に規定する様式による用紙で、現に残存するものは、当分の間、所要の修正を加え、なお使用することができる。
附 則(平成30年5月23日規則第16号)
| 
 | 
この規則は、平成30年6月1日から施行する。
附 則(令和2年4月1日規則第10号)
| 
 | 
この規則は、公布の日から施行する。
附 則(令和2年7月1日規則第13号)
| 
 | 
この規則は、公布の日から施行する。
附 則(令和4年10月14日規則第22号)
| 
 | 
この規則は、公布の日から施行する。
附 則(令和6年4月1日規則第9号)
| 
 | 
この規則は、公布の日から施行する。
附 則(令和6年12月27日規則第19号)
| 
 | 
この規則は、令和7年1月1日から施行する。
附 則(令和7年4月1日規則第13号)
| 
 | 
この規則は、公布の日から施行する。
別表第1(第48条、第56条関係)
							
  
  
  
  
(その1)支出負担行為の整理区分等及び支出命令票に必要な主な書類
| 節の区分 | 支出負担行為の範囲 | 支出負担行為として整理する時期 | 支出負担行為として出納機関の確認を受ける時期 | 支出負担行為に必要な主な書類 | 支出命令票に必要な主な書類 | 摘要 | 
| 1 報酬 | 当該給与の期間に係る金額 | 支出を決定するとき。 | 支出命令を発したとき。 | 支給内訳書、給料諸手当領収書
												 積算基礎を明らかにした書類  | 支出負担行為に必要な主な書類に同じ(以下別表第1(その1)及び(その2)においては、「支出負担行為に必要な主な書類」という。) | |
| 2 給料 | 当該給与の期間に係る金額 | 支出を決定するとき。 | 支出命令を発したとき。 | 支給内訳書、給料諸手当領収書
												 積算基礎を明らかにした書類  | 支出負担行為に必要な主な書類 | |
| 3 職員手当等 | 当該給与の期間に係る金額 | 支出を決定するとき。 | 支出命令を発したとき。 | 支給内訳書、給料諸手当領収書
												 積算基礎を明らかにした書類  | 支出負担行為に必要な主な書類 | |
| 4 共済費 | 支出する額 | 支出を決定するとき。 | 支出命令を発したとき。 | 掛金計算書又は払込通知書 | 支出負担行為に必要な主な書類 | |
| 5 災害補償費 | 支出する額 | 支出を決定するとき。 | 支出命令を発したとき。 | 請求書又は医療機関の請求書
												 領収書又は証明書 戸籍謄本又は戸籍抄本、死亡届書 積算基礎を明らかにした書類  | 支出負担行為に必要な主な書類 | |
| 6 恩給及び退職年金 | 支出する額 | 支出を決定するとき。 | 支出命令を発したとき。 | 恩給支出内訳書
												 積算基礎を明らかにした書類  | 支出負担行為に必要な主な書類 | |
| 7 報償費 | 支出又は交付をする額
												 (購入契約に係る金額)  | 支出又は交付の決定をするとき。
												 (購入契約を締結するとき。)  | 支出命令を発したとき。
												 (支出命令を発したとき。)  | 支出又は交付を明らかにした関係書類
												 (見積書、予定価格調書、入札書入札調書、契約書案、請書案)  | 支出負担行為に必要な主な書類
												 (請求書、納品書)  | 物品を購入する場合にあっては、( )書によることができる。 | 
| 8 旅費 | 支出する額 | 支出を決定するとき。 | 支出命令を発したとき。 | 旅行命令等に関する書類 | 支出負担行為に必要な主な書類 | |
| 9 交際費 | 支出する額 | 支出を決定するとき。 | 支出命令を発したとき。 | 請求書 | 支出負担行為に必要な主な書類 | |
| 10 需用費
												 (1) 消耗品費  |  
												 購入契約に係る金額  |  
												 購入契約を締結するとき。  |  
												 支出命令を発したとき。  |  
												 見積書、予定価格調書、入札書、入札調書、契約書案、請書案  |  
												 契約書、請書請求書、納品書  |  
												 単価契約による場合にあっては、( )書によることができる。  | 
| (請求のあった額) | (請求のあったとき。) | (支出命令を発したとき。) | (請求書、納品書) | (支出負担行為に必要な主な書類) | ||
| (2) 燃料費 | 購入契約に係る金額
												 | 購入契約を締結するとき。
												 | 支出命令を発したとき。 | 見積書、予定価格調書、入札書、入札調書、契約書案、請書案 | 契約書、請書請求書、納品書
												 | 
|
| (請求のあった額)
												 | (請求のあったとき。) | (支出命令を発したとき。) | (請求書、納品書) | (支出負担行為に必要な主な書類) | ||
| (3) 食糧費 | 支出する額 | 請求のあったとき又は契約を締結するとき。 | 支出命令を発したとき。 | 積算基礎を明らかにした書類 | 請求書、公給領収証 | |
| (4) 印刷製本費 | 契約金額 | 契約を締結するとき。 | 支出命令を発したとき。 | 見積書、予定価格調書、入札書、入札調書、契約書案、請書案 | 契約書、請書請求書、納品書 | |
| (5) 光熱水費 | 請求のあった額 | 請求のあったとき。 | 支出命令を発したとき。 | 請求書納入通知書その他納入に関する書類 | 支出負担行為に必要な主な書類 | |
| (6) 修繕料 | 契約金額 | 契約を締結するとき。 | 支出命令を発したとき。 | 見積書、予定価格調書、入札書、入札調書、積算基礎を明らかにした書類、契約書案、請書案 | 契約書、請書請求書、検査調書 | |
| (7) 賄材料費 | 契約金額 | 請求のあったとき又は契約を締結するとき。 | 支出命令を発したとき。 | 見積書、予定価格調書、入札書、入札調書、契約書案、請書案 | 契約書、請書請求書納品書 | |
| (8) 飼料費 | ||||||
| (9) 医薬材料費 | ||||||
| 11 役務費
												 (1) 通信運搬費 (2) 保管料 (3) 広告料  | 請求のあった額又は契約金額 | 請求のあったとき又は契約を締結するとき。 | 支出命令を発したとき。 | 見積書、予定価格調書、入札書、入札調書、積算基礎を明らかにした書類、契約書案、請書案、労務の提供のあったものについては、それを証明するに足りる書類 | 契約書、請書請求書納品書 | 単価契約による場合にあっては、( )書によることができる。 | 
|  
												 (4) 手数料  | (請求のあった額) | (請求のあったとき。) | (支出命令を発したとき。) | (請求書、納入通知書その他納入の通知に関する文書) | (支出負担行為に必要な主な書類) | |
| (5) 筆耕翻訳料 | 払込指定金額 | 契約を締結するとき又は支出を決定するとき。 | 支出命令を発したとき。 | 約款、契約書、払込書、計算の基礎を明らかにした書類 | 払込書
												 計算の基礎を明らかにした書類  | 
|
| (6) 火災保険料 | ||||||
| (7) 自動車損害保険料 | ||||||
| 12 委託料 | 契約金額 | 契約を締結するとき。 | 契約を締結するとき。 | 見積書、予定価格調書、入札書、入札調書、積算基礎を明らかにした書類、契約書案、請書案、ただし、工事請負に類するものにあっては、このほか工事請負費に必要な主な書類の例による。 | 契約書、請書請求書、検査調書ただし、工事請負契約に類するものにあっては、このほか工事請負費に必要な主な書類の例による。 | |
| 13 使用料及び賃借料 | 契約金額
												 | 契約を締結するとき。
												 | 支出命令を発したとき。
												 | 見積書、予定価格調書、入札書、入札調書、積算基礎を明らかにした書類、契約書案、請書案
												 | 契約書、請書請求書
												 | 単価契約による場合にあっては、( )書によることができる。 | 
| (請求のあった額) | (請求のあったとき。) | (支出命令を発したとき。) | (積算基礎を明らかにした書類、賃借の事実を証明する書類、請求書) | (支出負担行為に必要な主な書類) | ||
| 14 工事請負費
												 | 請負契約に係る金額 | 契約を締結するとき。 | 契約を締結するとき。 | 起工伺、設計書、仕様書、図面、予定価格調書、見積書、入札書、入札調書、契約書案、請書案 | ||
|  (1) 前払金に係るもの
												 | 契約書、請書、工程表、着工届、請負代金内訳書、現場代理人主任技術者届、請求書、公共工事の前払保証事業会社の保証書写
												 | 
|||||
|  (2) 部分払に係るもの
												 | 請求書契約書、請書、着工届、請負代金内訳書、工程表、現場代理人主任技術者届、支払計算書、部分払申請書、出来高調書、出来型写真
												 請求書  | 
|||||
| (3) (1)又は(2)以外のもの | (1)、(2)に必要な主な書類(公共工事の前払保証事業会社の保証書の写及び支払計算書を除く。)のほかに完成届、工事等検査調書 | |||||
| 15 原材料費 | 購入契約に係る金額
												 | 購入契約を締結するとき。
												 | 契約を締結するとき。
												 (支出命令を発したとき。)  | 見積書、予定価格調書、入札書、入札調書、契約書案、請書案
												 | 契約書、請書請求書、納品書
												 | 単価契約による場合にあっては、( )書によることができる。 | 
| (請求のあった額) | (請求のあったとき。) | (請求書、納品書) | (支出負担行為に必要な主な書類) | |||
| 16 公有財産購入費 | 購入契約に係る金額 | 購入契約を締結するとき。 | 契約を締結するとき。 | 見積書、予定価格調書、入札書、入札調書、契約書案、図面 | 契約書、請求書、納品書、写真、検査調書、不動産に関する権利の変動登記済証又は売買承諾書、物件移転承諾書 | |
| 17 備品購入費 | 購入契約に係る金額
												 | 購入契約を締結するとき。
												 | 契約を締結するとき。
												 | 見積書、予定価格調書、入札書、入札調書、契約書案、請書案
												 | 契約書、請書請求書、納品書
												 | 単価契約による場合にあっては、( )書によることができる。 | 
| (請求のあった額) | (請求のあったとき。) | (支出命令を発したとき。) | (請求書、納品書) | (支出負担行為に必要な主な書類) | ||
| 18 負担金・補助及び交付金 | 交付又は支出する額 | 交付又は支出を決定するとき。 | 交付の決定をするとき又は支出命令を発したとき。 | 申請書、指令書案、内訳書、交付又は支出する関係書類、積算基礎を明らかにした書類、ただし、工事請負契約に類するものにあっては、このほか工事請負費に必要な主な書類の例による。 | 支出負担行為に必要な主な書類納入通知書その他の納入に関する文書、ただし、工事請負契約に類するものにあっては、このほか工事請負費に必要な主な書類の例による。 | |
| 19 扶助費 | 支出する額又は購入契約に係る金額
												 | 支出を決定するとき又は契約を締結するとき。
												 | 支出命令を発したとき。
												 | 支出することを明らかにした書類購入契約にあっては、消耗品費に係る支出負担行為に必要な主な書類
												 | 支出負担行為に必要な主な書類購入契約にあっては、消耗品費に係る支出負担行為に必要な主な書類の例による。
												 | 単価契約による場合にあっては、( )書によることができる。 | 
| (請求のあった額) | (請求のあったとき。) | (支出命令を発したとき。) | (請求書、納品書) | (支出負担行為に必要な主な書類) | ||
| 20 貸付金 | 貸付けをする額 | 貸付の決定をするとき。 | 契約を締結するとき又は貸付けの決定をするとき。 | 契約書案、確約書、申請書 | 支出負担行為に必要な主な書類 | |
| 21 補償・補填及び賠償金 | 契約金額又は支出する額 | 契約を締結するとき又は支出を決定するとき。 | 契約を締結するとき又は支出命令を発したとき。 | 契約書案、確約書、判決謄本、示談書、協議書、協定書、納入通知書その他納入に関する文書積算基礎を明らかにした書類請求書 | 支出負担行為に必要な主な書類 | |
| 22 償還金・利子及び割引料 | 支出する額 | 支出を決定するとき。 | 支出命令を発したとき。 | 借入れに関する書類、積算基礎を明らかにした書類納入通知書その他納入に関する文書、請求書 | 支出負担行為に必要な主な書類 | |
| 23 投資及び出資金 | 出資又は払込みをする額 | 出資又は払込みを決定するとき。 | 出資又は払込みを決定したとき。 | 申請書又は申込書案、約款又は規則、趣意書 | 払込書 | |
| 24 積立金 | 支出する額 | 支出を決定するとき。 | 支出命令を発したとき。 | 積算基礎を明らかにした書類 | 支出負担行為に必要な主な書類 | |
| 25 寄付金 | 支出する額 | 支出を決定するとき。 | 支出命令を発したとき。 | 寄付申込書、趣意書払込書 | 支出負担行為に必要な主な書類 | |
| 26 公課費 | 支出する額 | 支出を決定するとき。 | 支出命令を発したとき。 | 申請書積算基礎を明らかにした書類納入通知書その他納入に関する文書 | 支出負担行為に必要な主な書類 | |
| 27 繰出金 | 繰り出す額 | 支出を決定するとき。 | 支出命令を発したとき。 | 積算基礎を明らかにした書類 | 支出負担行為に必要な主な書類 | 
| 注 |  1 支出負担行為として整理する時期が、「支出を決定するとき」又は「請求のあったとき」以外のものにあっては支出命令票に支出負担行為票を添付すること。
														 2 支出負担行為権者は、単価契約を締結する場合にあっては、あらかじめ出納機関に協議すること。  | 
(その2)支出負担行為の整理区分等及び支出命令票に必要な主な書類
| 区分 | 支出負担行為の範囲 | 支出負担行為として整理する時期 | 支出負担行為として出納機関の確認を受ける時期 | 支出負担行為に必要な主な書類 | 支出命令票に必要な主な書類 | 摘要 | 
| 1 資金前渡(給料等を除く。) | 資金を前渡する額 | 前渡資金の支出を決定するとき。 | 資金を前渡する支出命令を発したとき。 | 請求書積算基礎を明らかにした書類 | 支出負担行為に必要な主な書類 | |
| 2 過年度支出 | 支出する額 | 支出を決定するとき。 | 支出命令を発したとき。 | 過年度支出を証する書類のほか、その科目に応じて別表第1(その1)に定める当該支出負担行為に必要な主な書類請求書 | その科目に応じて別表第1(その1)に定める当該支出命令書に必要な主な書類 | |
| 3 繰越し(繰越しをする年度において支出負担をしていないものを除く。) | 繰越しをした金額の範囲内の額 | 支出を決定するとき。 | 支出命令を発したとき。 | 繰越計算書の写繰越説明書 | その科目に応じて別表第1(その1)に定める当該支出命令書に必要な主な書類 | 支出負担行為票及び支出命令票には「繰越し」である旨の表示をすること。 | 
| 4 過払金の戻入 | 返納させた額 | 返納されたとき。 | 返納されたとき。 | 積算基礎を明らかにした書類 | 支出負担行為に必要な主な書類 | |
| 5 債務負担行為 | 債務負担行為に基づく支出負担行為の額 | 債務負担行為に係る支出負担行為を行うとき。 | 債務負担行為に係る支出負担行為を行うとき。 | その科目に応じて別表第1(その1)に定める支出負担行為に必要な主な書類 | その科目に応じて別表第1(その1)に定める当該支出命令書に必要な主な書類 | |
| 6 私人に対する支出事務の委託(支出負担行為済の分を除く。) | 委託しようとする額 | 支出事務の委託を決定するとき。 | 支出事務の委託を決定するとき。 | 委託契約書案内訳書請求書 | 支出負担行為に必要な主な書類、委託契約書 | 
| 注 | 継続費又は債務負担行為に基づく支出負担行為済のものの歳出予算に基づく支出負担行為として整理する時期は、当該経費の支出を決定するときとし、確認を受ける時期は、支出命令を発したときとする。 | 
別表第2(第194条関係)
  
  
物品分類基準表
| 大分類 | 中分類 | 小分類 | 
| 1 備品 | 1 庁用機械器具 | 1 机類
											 2 いす類 3 たな類 4 ついたて類 5 金庫類 6 箱類 7 塗板類  | 
| 2 事務用機器 | 8 印刷器具類
											 9 印字器具類 10 計算器具類 11 書類整理器具類 12 印判類 13 雑品類  | 
|
| 3 維持管理機器 | 14 照明器具類
											 15 通信器具類 16 冷暖房器具類 17 維持器具類 18 寝具類 19 縫製器具類 20 ちゅう(厨)房器具類 21 清掃器具類 22 車両整備工具類  | 
|
| 4 その他の機器 | 23 その他の器具類 | |
| 5 理化学機器 | 24 測量器具類
											 25 測定器具類 26 試験検査器具類  | 
|
| 6 工業機器 | 27 工作器具類
											 28 繊維器具類  | 
|
| 7 土木建築器具 | 29 工事器具類 | |
| 8 農林水産器具 | 30 農産器具類
											 31 林産器具類 32 水産器具類 33 畜産器具類 34 食品加工器具類  | 
|
| 9 医療防疫機器 | 35 診療診断器具類
											 36 治療器具類 37 衛生検査器具類 38 調剤器具類 39 看護器具類 40 防疫器具類  | 
|
| 10 教学機器 | 41 一般教学器具類
											 42 理化学器具類 43 農林水産器具類 44 土木建築工業器具類 45 商工器具類 46 保健体育器具類 47 標本模型類 48 音楽器具類  | 
|
| 11 車両船舶 | 49 自動車
											 50 原動機付自転車 51 自転車 52 荷車 53 船舶  | 
|
| 12 図書 | 54 事務用図書
											 55 調査研究用図書 56 教学用図書 57 閲覧用図書  | 
|
| 13 美術品 | 58 美術品類 | |
| 14 雑品 | 59 雑品類 | |
| 2 消耗品 | 1 事務用品 | 1 文房具類
											 2 用紙類 3 印刷物類  | 
| 2 郵券証紙 | 4 郵券類
											 5 証紙類  | 
|
| 3 材料品 | 6 医薬材料品類
											 7 試験検査用品類 8 防疫用品類 9 賄材料品類 10 飼料品類 11 肥料品類 12 部品工具類 13 染料顔料類 14 実習・講習用材料  | 
|
| 4 油脂・燃料 | 15 油脂類
											 16 燃料類  | 
|
| 5 報償接待及び貸与品 | 17 報償及び接待品類
											 18 貸与品類  | 
|
| 6 その他 | 19 雑品類 | |
| 3 原材料 | 1 工事・加工用材料 | 1 工事材料
											 2 生産・加工用素材、種苗  | 
| 4 生産物、製作品 | 1 生産物 | 1 農産物類
											 2 林産物類 3 水産物類 4 畜産物類  | 
| 2 製作品 | 5 木工製品類
											 6 金属製品類 7 繊維製品類 8 加工食品類  | 
|
| 5 動物 | 1 動物 | 1 家畜類
											 2 鳥類 3 魚類  | 
| 6 解体材料 | 1 解体材料 | 1 解体材料 | 
| 7 借入品 | 1 借入品 | 1 借入品 | 
| 8 占有動産 | 1 占有動産 | 1 占有動産 | 
| 備考 | 1 「備品」とは、比較的長期(通常の状態でおおむね3年程度以上)の使用に堪える物品であって、その取得価格(取得価格が不明又は特殊な条件において取得したものにあっては、市場価格を基礎として評定した価格)がおおむね5万円以上のもの(公印等特殊な物品については価格に係わらないものとする。)をいう。
													 2 「消耗品」とは、一回限りの使用で消耗する物品その他短期間に消耗する物品、短期間に消耗することはないがその性質上長期間使用することに適しない物品及び備品類似のものであるが備品とはされない物品をいう。  | 
別表第3(第234条関係)
							
								
備付帳簿
| 番号 | 帳簿名称 | 備付義務者 | 編綴書票又は様式番号 | 
| (第1章 関係) | |||
| 3―1―1 | 歳入歳出予算原簿 | 総務課長 | 第1号様式 | 
| (第3章 関係) | |||
| 3―3―1 | 歳入簿 | 出納機関 | 収入月計票、調定票B、集合調定通知内訳票B、収入票A、過誤納金戻出命令票B、収入更正票C及びD、集合収入更正内訳票B、収入未済金繰越票C及びD、不納欠損金処分通知票B、振替票D | 
| 3―3―2 | 歳入内訳簿 | 収入権者 | 収入月計票、調定票A、集合調定内訳票A、収入票B、過誤納金整理票A、収入更正票A及びB、集合収入更正内訳票A、収入未済金繰越票A及びB、不納欠損金整理票A、振替票B | 
| 3―3―3 | 徴収簿 | 収入権者 | 第22号様式 | 
| 3―3―4 | 滞納繰越簿 | 収入権者 | 収入未済金繰越内訳書 | 
| 3―3―5 | 領収済通知整理簿 | 出納機関 | 領収済通知書(納入通知書、現金等払込書、督促状、返納通知書)払込内訳書 | 
| (第4章 関係) | |||
| 3―4―1 | 歳出簿 | 出納機関 | 支出月計票、歳出予算流用票C及びD、予備費充当票C及びD、支出負担行為票(その1、その2及びその3)B、支出負担行為内訳票B、支出票B、支出命令内訳票B、資金前渡票B、前渡資金精算票B、概算払精算票B、繰替払整理票A、振替票C、過誤払金整理票B、支出更正票C及びD、集合支出更正内訳票B | 
| 3―4―2 | 支出負担行為差引簿 | 支出負担行為権者又は支出権者 | 支出月計票、歳出予算流用票A及びB、予備費充当票A及びB、支出負担行為票(その1、その2及びその3)A、支出負担行為内訳票A、支出票A、支出命令内訳票A、資金前渡票A、前渡資金精算票A、概算払精算票A、繰替払整理票B、振替票A、過誤払金整理票A、支出更正票A及びB、集合支出更正内訳票A | 
| 3―4―3 | 前渡資金経理簿 | 資金前渡職員 | 第43号様式 | 
| 3―4―4 | 送金払整理簿 | 出納機関 | 送金払請求書A、口座振替請求書A | 
| 3―4―5 | 小切手振出簿 | 出納機関 | 小切手振出票A | 
| 3―4―6 | 支払証拠書類綴 | 出納機関 | 公金振替済通知書 | 
| (第8章 関係) | |||
| 3―8―1 | 現金出納簿 | 出納機関 | 日計表内訳票(収入票C、収入(支出)更正票E及びF、過誤納金整理票C、支出負担行為票(その2及びその3)C、支出票C、資金前渡票C、振替票E及びF) | 
| (第9章 関係) | |||
| 3―9―1
												 3―9―2  | 一時借入金整理簿
												 歳入歳出外現金等整理簿  | 総務課長
												 出納機関  | 第74号様式
												 (歳入簿、歳出簿に準ずる。)  | 
| (第10章 関係) | |||
| 3―10―1 | 財産台帳 | 財産管理者 | 第78号様式 | 
| 3―10―2 | 普通財産貸付台帳 | 契約権者 | 普通財産貸付調書 | 
| 3―10―3 | 物品出納簿 | 出納機関 | 物品分類換票A及びB、物品払出票、物品受入票、物品所管換票 | 
| 3―10―4 | 物品貸付台帳 | 物品管理者 | 物品貸付書 | 
| 3―10―5 | 物品台帳 | 物品管理者及び出納機関 | 第94号様式 | 
| 3―10―6 | 債権台帳 | 収入権者 | 第96号様式 | 
| 3―10―7 | 債権管理簿 | 会計管理者 | 第98号様式 | 
| 3―10―8 | 基金台帳 | 基金管理者 | 第99号様式 | 
| 様式索引 | |
| 第1号様式 | (第6条) | 
| その1 | 歳入予算現計表 | 
| その2 | 歳出予算現計表 | 
| 第2号様式 | 歳入予算要求書(第8条) | 
| 第3号様式 | 歳出予算要求書(第8条) | 
| 第4号様式 | 削除 | 
| 第5号様式 | 継続費見積書(第8条) | 
| 第6号様式 | 繰越明許費見積書(第8条) | 
| 第7号様式 | 債務負担行為見積書(第8条) | 
| 第8号様式 | 既に設定された継続費の支出状況説明書(第8条) | 
| 第9号様式 | 既に設定された債務負担行為の支出額等説明書(第8条) | 
| 第10号様式 | 収入計画書(第14条) | 
| 第11号様式 | 予算執行計画書(第14条) | 
| 第12号様式 | 資金計画書(第14条) | 
| 第13号様式 | 支出負担行為配当申請書・支出負担行為配当書(第15条) | 
| 第14号様式 | (第16条、第17条) | 
| その1 | 予算流用要求書 | 
| その2 | 予算流用通知書 | 
| その3 | 予備費充当要求書 | 
| その4 | 予備費充当通知書 | 
| 第15号様式 | 継続費繰越説明書(第18条) | 
| 第16号様式 | 繰越明許費繰越説明書(第20条) | 
| 第17号様式 | 事故繰越し繰越説明書(第21条) | 
| 第18号様式 | 収入月計票(第22条) | 
| 第19号様式 | 支出月計票(第22条) | 
| 第20号様式 | (第25条、第29条、第31条、第45条、第68条、第70条) | 
| その1 | 調定通知書 | 
| その2 | 調定更正書 | 
| 第21号様式 | 集合調定通知内訳書(第25条、第31条) | 
| 第22号様式 | 徴収簿(第25条、第38条、第39条、第43条、第45条、第46条、第218条) | 
| 第23号様式 | (第27条、第33条~第35条、第38条~第40条、第142条~第145条、第153条、第159条、第218条関係) | 
| 納入通知書兼領収書 | |
| 同上 | |
| 納入済通知書 | |
| 納入通知書・領収書 | |
| 第24号様式 | 削除 | 
| 第25号様式 | 削除 | 
| 第26号様式 | 収納金通知書(第38条、第39条) | 
| 第27号様式 | 身分を示す証票(収入受託者)(第40条) | 
| 第28号様式 | 収入金計算書(第40条) | 
| 第29号様式 | 過誤納金還付命令書(第41条) | 
| 第30号様式 | 科目更正書(第42条、第87条) | 
| 第31号様式 | 集合収入(支出)更正内訳書(第42条、第87条) | 
| 第32号様式 | 削除 | 
| 第33号様式 | 督促状(第43条、第142条、第145条) | 
| 第34号様式 | 身分を示す証票(滞納処分職員)(第44条) | 
| 第35号様式 | 収入未済金繰越内訳書(滞納繰越簿)(第45条、第46条) | 
| 第36号様式 | (第46条) | 
| その1 | 不納欠損書 | 
| その2 | 不納欠損更正書 | 
| 第37号様式 | (第48条、第50条) | 
| その1 | 支出負担行為書 | 
| その2 | 支出負担行為更正書 | 
| その3 | 支出負担行為兼支出命令書 | 
| 第38号様式 | 債権内訳書(第49条、第52条) | 
| 第39号様式 | 確認印(第50条) | 
| 第40号様式 | 支出命令書(第52条、第55条、第56条、第63条、第69条、第73条~第76条、第78条、第80条、第200条) | 
| 第41号様式 | 支出命令書(第167条) | 
| 第42号様式 | 前渡資金経理簿(第61条) | 
| 第43号様式 | 精算命令書(第64条) | 
| 第44号様式 | 繰替払命令印(第68条) | 
| 第45号様式 | 繰替払整理票・繰替払済通知票(第68条、第153条、第159条) | 
| 第46号様式 | 振替命令書(第70条) | 
| 第47号様式 | 公金振替書・公金振替済通知書(第42条、第71条、第87条、第148条、第157条~第159条) | 
| 第48号様式 | 送金払請求書・送金払通知書(第74条、第90条、第149条~第151条) | 
| 第49号様式 | 口座振替請求書・口座振替通知書(第75条、第152条) | 
| 第50号様式 | 支払切符(第76条) | 
| 第51号様式 | 小切手振出票・小切手振出済通知書(第83条、第149条) | 
| 第52号様式 | 小切手帳交付請求書・小切手帳受領書(第84条、第137条) | 
| 第53号様式 | 戻入命令書(第86条) | 
| 第54号様式 | 戻入済通知書 | 
| 第55号様式 | 歳入決算事項報告書(第91条) | 
| 第56号様式 | 歳出決算事項報告書(第91条) | 
| 第57号様式 | 請書(第96条) | 
| 第58号様式 | 契約保証金還付請求書・入札保証金還付請求書(第100条、第117条) | 
| 第59号様式 | 工事等検査調書(第131条) | 
| 第60号様式 | 検査調書(第131条) | 
| 第61号様式 | 事務引継書(第135条) | 
| 第62号様式 | 収入引継計算書(第135条) | 
| 第63号様式 | 支出引継計算書(第135条) | 
| 第64号様式 | 歳入歳出外現金等受入払出引継計算書(第135条) | 
| 第65号様式 | 現金引継計算書(第135条) | 
| 第66号様式 | 証券引継計算書(第135条) | 
| 第67号様式 | 物品引継計算書(第135条) | 
| 第68号様式 | 小切手引継計算書(第135条) | 
| 第69号様式 | 不渡通知書(第39条、第144条) | 
| 第70号様式 | 小切手等支払未済調書(第154条) | 
| 第71号様式 | 小切手等支払未済金繰入調書(第30条、第89条、第155条) | 
| 第72号様式 | 収支日計表(第38条、第159条) | 
| 第73号様式 | 歳入歳出外現金繰越調書(第161条) | 
| 第74号様式 | 一時借入金整理簿(第164条) | 
| 第75号様式 | 境界標柱(第170条) | 
| 第76号様式 | 境界標柱確認に関する覚書(第170条) | 
| 第77号様式 | 公有財産異動報告書(第171条) | 
| 第78号様式 | 財産台帳(第173条) | 
| 第79号様式 | 公有財産現況報告書(第176条) | 
| 第80号様式 | 公有財産所管換承認申請書(第178条) | 
| 第81号様式 | 公有財産引継書(第178条、第186条) | 
| 第82号様式 | 行政財産使用許可申請書(第179条) | 
| 第83号様式 | 行政財産使用許可書(第179条) | 
| 第84号様式 | 普通財産借受等申込書(第181条) | 
| 第85号様式 | 普通財産貸付調書(第181条) | 
| 第86号様式 | 物品分類換票・物品分類換通知票(第195条) | 
| 第87号様式 | 標識(第197条) | 
| 第88号様式 | 物品払出(受入)票(第198条、第200条、第201条) | 
| 第89号様式 | 検収印(第200条) | 
| 第90号様式 | 物品所管換票(第205条) | 
| 第91号様式 | 物品借受申込書(第210条) | 
| 第92号様式 | 物品貸付書(第210条) | 
| 第93号様式 | 物品借用書(第210条) | 
| 第94号様式 | 物品台帳(第211条) | 
| 第95号様式 | 物品現在高報告書(第213条) | 
| 第96号様式 | 債権台帳(第216条) | 
| 第97号様式 | 債権現在高報告書(第216条) | 
| 第98号様式 | 債権管理簿(第216条) | 
| 第99号様式 | 基金台帳(第227条) | 
| 第100号様式 | 基金現況報告書(第229条) | 
| 第101号様式 | 基金運用状況調書(第230条) | 
[第1号様式] [第22号様式] [第43号様式] [第74号様式] [第78号様式] [第94号様式] [第96号様式] [第98号様式] [第99号様式] [第1号様式] [第2号様式] [第3号様式] [第5号様式] [第6号様式] [第7号様式] [第8号様式] [第9号様式] [第10号様式] [第11号様式] [第12号様式] [第13号様式] [第14号様式] [第15号様式] [第16号様式] [第17号様式] [第18号様式] [第19号様式] [第20号様式] [第21号様式] [第22号様式] [第23号様式] [第26号様式] [第27号様式] [第28号様式] [第29号様式] [第30号様式] [第31号様式] [第33号様式] [第34号様式] [第35号様式] [第36号様式] [第37号様式] [第38号様式] [第39号様式] [第40号様式] [第41号様式] [第42号様式] [第43号様式] [第44号様式] [第45号様式] [第46号様式] [第47号様式] [第48号様式] [第49号様式] [第50号様式] [第51号様式] [第52号様式] [第53号様式] [第54号様式] [第55号様式] [第56号様式] [第57号様式] [第58号様式] [第59号様式] [第60号様式] [第61号様式] [第62号様式] [第63号様式] [第64号様式] [第65号様式] [第66号様式] [第67号様式] [第68号様式] [第69号様式] [第70号様式] [第71号様式] [第72号様式] [第73号様式] [第74号様式] [第75号様式] [第76号様式] [第77号様式] [第78号様式] [第79号様式] [第80号様式] [第81号様式] [第82号様式] [第83号様式] [第84号様式] [第85号様式] [第86号様式] [第87号様式] [第88号様式] [第89号様式] [第90号様式] [第91号様式] [第92号様式] [第93号様式] [第94号様式] [第95号様式] [第96号様式] [第97号様式] [第98号様式] [第99号様式] [第100号様式] [第101号様式]
第4号様式
						 削除
第24号様式
						 削除
第25号様式
						 削除
第32号様式
						 削除


